全球化学品在线数据库

新螺旋霉素
[CAS 102418-06-4]

供应商
CAS#: 102418-06-4
产品: 新螺旋霉素
暂时没有厂家供应该产品。
基本信息
产品名称 新螺旋霉素
英文名 Neospiramycin
别名 2-[(4R,5S,6S,7R,9R,10R,11E,13E,16R)-6-[(2S,3R,4S,5S,6R)-4-Dimethylamino-3,5-Dihydroxy-6-Methyl-Tetrahydropyran-2-Yl]Oxy-10-[(2R,5S,6R)-5-Dimethylamino-6-Methyl-Tetrahydropyran-2-Yl]Oxy-4-Hydroxy-5-Methoxy-9,16-Dimethyl-2-Oxo-1-Oxacyclohexadeca-11,13-Dien-7-Yl]Acetaldehyde; 2-[(4R,5S,6S,7R,9R,10R,11E,13E,16R)-6-[[(2S,3R,4S,5S,6R)-4-Dimethylamino-3,5-Dihydroxy-6-Methyl-2-Tetrahydropyranyl]Oxy]-10-[[(2R,5S,6R)-5-Dimethylamino-6-Methyl-2-Tetrahydropyranyl]Oxy]-4-Hydroxy-5-Methoxy-9,16-Dimethyl-2-Oxo-1-Oxacyclohexadeca-11,13-Dien-7-Yl]Acetaldehyde; 2-[(4R,5S,6S,7R,9R,10R,11E,13E,16R)-6-[(2S,3R,4S,5S,6R)-4-Dimethylamino-3,5-Dihydroxy-6-Methyl-Tetrahydropyran-2-Yl]Oxy-10-[(2R,5S,6R)-5-Dimethylamino-6-Methyl-Tetrahydropyran-2-Yl]Oxy-4-Hydroxy-2-Keto-5-Methoxy-9,16-Dimethyl-1-Oxacyclohexadeca-11,13-Dien-7-Yl]Acetaldehyde
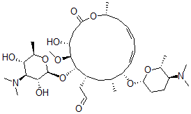
分子结构 CAS 登录号:102418-06-4, 新螺旋霉素
分子式 C36H62N2O11
分子量 698.89
CAS 登录号 102418-06-4
分子行输入简码 SMILES [C@@H]3(O[C@@H]2[C@@H](OC)[C@H](O)CC(O[C@@H](C/C=C/C=C/[C@H](O[C@@H]1O[C@@H]([C@@H](N(C)C)CC1)C)[C@@H](C[C@@H]2CC=O)C)C)=O)O[C@@H]([C@@H](O)[C@H](N(C)C)[C@H]3O)C
国际化学标识码 InChI 1S/C36H62N2O11/c1-21-19-25(17-18-39)34(49-36-33(43)31(38(7)8)32(42)24(4)47-36)35(44-9)27(40)20-29(41)45-22(2)13-11-10-12-14-28(21)48-30-16-15-26(37(5)6)23(3)46-30/h10-12,14,18,21-28,30-36,40,42-43H,13,15-17,19-20H2,1-9H3/b11-10+,14-12+/t21-,22-,23-,24-,25+,26+,27-,28+,30+,31+,32-,33-,34+,35+,36+/m1/s1
国际化学标识检索码 InChIKey SUBWVHAACKTENX-XLGVTROISA-N
市场分析报告
相关产品
新铃兰醛; 4-(4'-羟基-...  新利司他; 2-十六烷氧基-6...  辛硫苯酯  1-辛硫醇; 正辛硫醇  (辛硫基)乙酸  新硫激肽-I  辛硫磷; O,O-二乙基-O-...  锌硫酸盐水合物  锌离子荧光探针-4  新落新妇苷  新螺旋霉素I  新鲁司米星A  新鲁斯皂甙元  新绿原酸; 5-咖啡酰奎宁酸  新芒果苷; 新杧果苷  辛霉菌素  新霉菌素标准液  新霉素  新霉素 B 硫酸盐  新霉素 B 硫酸盐