| 卡博森斯化学科技 (苏州) 有限公司 | 中国 | |||
|---|---|---|---|---|
![]() | www.carbosynth.cn | |||
![]() | +86 (512) 6260-5585 | |||
![]() | +86 (512) 6260-5576 | |||
![]() | sales@carbosynth.com | |||
![]() | QQ Chat | |||
| 化学品生产商 (2006年起) | ||||
| chemBlink 标准供应商 (2016年起) | ||||
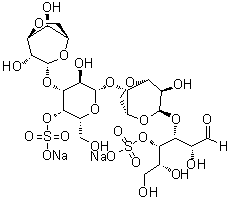
| 产品名称 | O-3,6-脱水-alpha-D-吡喃半乳糖基-(1→3)-O-4-O-磺基-beta-D-吡喃半乳糖基-(1→4)-O-3,6-脱水-alpha-D-吡喃半乳糖基-(1→3)-D-半乳糖 4-(硫酸氢酯)二钠盐 |
|---|---|
| 英文名 | O-3,6-Anhydro-alpha-D-galactopyranosyl-(1→3)-O-4-O-sulfo-beta-D-galactopyranosyl-(1→4)-O-3,6-anhydro-alpha-D-galactopyranosyl-(1→3)-D-galactose 4-(hydrogen sulfate) disodium salt |
| 分子结构 | ![]() |
| 分子式 | C24H36O25S2Na2 |
| 分子量 | 834.64 |
| CAS 登录号 | 108347-92-8 |
| SDS | 化学品安全技术说明书参考文本 |
|---|---|
| 市场分析报告 |