全球化学品在线数据库

牟伦多菌素
[CAS 108351-20-8]

供应商
CAS#: 108351-20-8
产品: 牟伦多菌素
暂时没有厂家供应该产品。
基本信息
产品名称 牟伦多菌素
英文名 Mulundocandin
别名 Aids096174; Mulundocandin
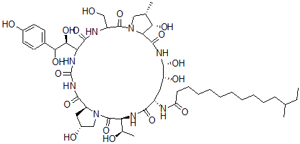
分子结构 CAS 登录号:108351-20-8, 牟伦多菌素
分子式 C49H78N8O17
分子量 1051.20
CAS 登录号 108351-20-8
分子行输入简码 SMILES [C@H]1([C@H](O)C3N(C1)C(=O)C(NC(=O)C(NC(=O)NC(=O)[C@H]2N(C[C@H](O)C2)C(=O)[C@@H](NC(=O)[C@@H](NC(=O)CCCCCCCCCCC(CC)C)C[C@@H](O)[C@@H](O)NC3=O)[C@H](O)C)[C@H](O)C(O)C4=CC=C(O)C=C4)CO)C
国际化学标识码 InChI 1S/C49H78N8O17/c1-5-25(2)14-12-10-8-6-7-9-11-13-15-35(63)50-31-21-34(62)44(69)54-46(71)38-39(64)26(3)22-57(38)47(72)32(24-58)51-45(70)37(41(66)40(65)28-16-18-29(60)19-17-28)53-49(74)55-43(68)33-20-30(61)23-56(33)48(73)36(27(4)59)52-42(31)67/h16-19,25-27,30-34,36-41,44,58-62,64-66,69H,5-15,20-24H2,1-4H3,(H,50,63)(H,51,70)(H,52,67)(H,54,71)(H2,53,55,68,74)/t25?,26-,27+,30+,31-,32?,33-,34+,36-,37?,38?,39-,40?,41-,44+/m0/s1
国际化学标识检索码 InChIKey UXIRFQPBPZYIBV-QQTLFGACSA-N
物理化学性质
密度 1.416g/cm3 (计算值)
市场分析报告
相关产品
莫他匹酮  莫特塞尼; AMG 706; ...  莫特沙芬钆  莫特沙芬镥  莫特沙芬镥水合物  膜天冬氨酸蛋白酶 2 肽基质  莫替沙福肽  Motival  Motolimod  MOTS-C  Mouse Gm-Csf  莫维 A 胺  莫维 A 胺  莫维普利; (2R)-1-[(...  莫维普利钙; (2R)-1-[...  莫维珠单抗  墨西哥堆心菊素 E  墨西哥拉瑞阿提取物  莫西光学对映体  莫西菌素; 莫西丁克