全球化学品在线数据库

依维米星
[CAS 109545-84-8]

供应商目录
BOC Sciences 美国
www.bocsci.com
+1 (631) 485-4226
+1 (631) 614-7828
info@bocsci.com
化学品生产商
chemBlink 标准供应商 (2010年起)

基本信息
产品分类原料药 >> 抗生素类药物
产品名称依维米星
英文名Evernimicin
别名Everninomicin; Everninomicin 13384-1; Sch 27899; Ziracin; 56-deacetyl-57-demethyl-45-O-de(2-methyl-1-oxopropyl)-12-O-(2,3,6-trideoxy-3-C-methyl-4-O-methyl-3-nitro-alpha-L-arabino-hexopyranosyl)flambamycin 56-(2,4-dihydroxy-6-methylbenzoate)
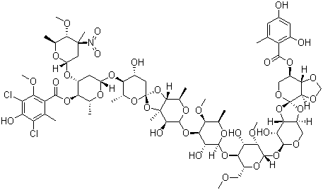
分子结构依维米星分子结构 (CAS 109545-84-8)
分子式C70H97Cl2NO38
分子量1631.41
CAS 登录号109545-84-8
物理化学性质
密度1.55
市场分析报告
相关产品
异维甲酸阿尼沙酯  伊维菌素  依维菌素  伊维菌素 B1a  伊维菌素B1单-糖衍生物  伊维菌素B1高丽槐素  抑胃酶氨酰-1474  抑胃酶氨酰-9584  抑胃酶氨酰u丙基亚胺  抑胃酶素  依维米星  依维莫司  依维莫司EP杂质B(酸)  依维莫司环-开杂质  抑胃肽  异维他命D3  伊文思蓝  依沃卡塞杂质1  乙肟吲哚  异戊巴比妥