全球化学品在线数据库

铃鹿菌素
[CAS 11017-50-8]

供应商
BOC Sciences 美国
+1 (631) 485-4226
info@bocsci.com
Skype 聊天
化学品供销商
chemBlink 集群供应商(2012 年起)
基本信息
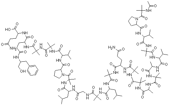
产品名称 铃鹿菌素
英文名 Suzukacillin
分子结构 CAS 登录号:11017-50-8, 铃鹿菌素
分子式 C111H184N26O29
分子量 2346.83
CAS 登录号 11017-50-8
分子行输入简码 SMILES C3=C(CC(NC(=O)CCC(NC(=O)C(NC(=O)C(NC(=O)C(NC(=O)C2N(C(=O)C(NC(=O)C(NC(=O)CNC(=O)C(NC(=O)C(NC(=O)C(NC(=O)C(NC(=O)C(NC(=O)C(NC(=O)C(NC(=O)C(NC(=O)C(NC(=O)C(NC(=O)C(NC(=O)C(NC(=O)C1N(C(=O)C(NC(=O)C)(C)C)CCC1)C(C)C)(C)C)C(C)C)C)(C)C)C)(C)C)(C)C)CCC(=O)N)(C)C)CC(C)C)(C)C)CC(C)C)(C)C)CCC2)C(C)C)(C)C)(C)C)C(=O)NC(C(=O)O)CCC(=O)N)CO)C=CC=C3
国际化学标识码 InChI 1S/C111H184N26O29/c1-56(2)51-69(84(148)131-111(32,33)101(166)137-50-38-42-72(137)87(151)124-79(60(9)10)90(154)133-109(28,29)99(164)135-106(22,23)95(160)120-66(82(146)119-68(91(155)156)44-47-74(113)141)45-48-75(142)117-65(55-138)53-64-39-35-34-36-40-64)118-76(143)54-114-92(157)102(14,15)130-85(149)70(52-57(3)4)122-94(159)104(18,19)129-83(147)67(43-46-73(112)140)121-96(161)107(24,25)134-98(163)108(26,27)128-81(145)62(12)116-93(158)103(16,17)127-80(144)61(11)115-88(152)77(58(5)6)125-97(162)105(20,21)132-89(153)78(59(7)8)123-86(150)71-41-37-49-136(71)100(165)110(30,31)126-63(13)139/h34-36,39-40,56-62,65-72,77-79,138H,37-38,41-55H2,1-33H3,(H2,112,140)(H2,113,141)(H,114,157)(H,115,152)(H,116,158)(H,117,142)(H,118,143)(H,119,146)(H,120,160)(H,121,161)(H,122,159)(H,123,150)(H,124,151)(H,125,162)(H,126,139)(H,127,144)(H,128,145)(H,129,147)(H,130,149)(H,131,148)(H,132,153)(H,133,154)(H,134,163)(H,135,164)(H,155,156)
国际化学标识检索码 InChIKey SICPFXZHVIAXRP-UHFFFAOYSA-N
市场分析报告
相关产品
领地霉素A盐酸盐  另丁津  菱沸石  灵菌红素  灵菌红素25C  铃兰醇苷  铃兰毒甙; 君影草毒素; K-...  铃兰醛; 2-(4-叔丁基苄基...  玲兰素  铃兰提取物  灵芝孢子酸A  灵芝醇 A  灵芝醇 B  灵芝醇 F  灵芝马酮  灵芝内酯 B  灵芝醛 A  灵芝酸 A  灵芝酸 AM1  灵芝酸 B