| 天津塞特瑞科技开发有限公司 | 中国 | |||
|---|---|---|---|---|
![]() | www.security-chemical.com | |||
![]() | +86 (22) 2312-8588 2695-2636 +86 13312123508 | |||
![]() | +86 (22) 2695-2636 | |||
![]() | sale@security-chemical.com 1508039866@qq.com | |||
| 化学品生产商 (2008年起) | ||||
| chemBlink 标准供应商 (2009年起) | ||||
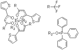
| 产品名称 | 三[4,4,4-三氟-1-(2-噻吩基)-1,3-丁二酮]双(氧化三苯基膦)铕 |
|---|---|
| 英文名 | Tris[4,4,4-trifluoro-1-(2-thienyl)-1,3-butanedionato]bis(triphenylphosphine oxide)europium |
| 分子结构 | ![]() |
| 分子式 | C60H42EuF9O8P2S3 |
| 分子量 | 1372.07 |
| CAS 登录号 | 12121-29-8 |
| EC 号码 | 680-350-4 |
| 熔点 | 248-251 °C* |
|---|---|
| * | Yabe, Akiko |
| SDS | 化学品安全技术说明书参考文本 |
|---|---|
| 市场分析报告 |