全球化学品在线数据库

(1S,2S,3R,4R,5S,6R)-7-氮杂双环[4.1.0]庚烷-2,3,4,5-四醇
[CAS 123788-61-4]

供应商
CAS#: 123788-61-4
产品: (1S,2S,3R,4R,5S,6R)-7-氮杂双环[4.1.0]庚烷-2,3,4,5-四醇
暂时没有厂家供应该产品。
基本信息
产品名称 (1S,2S,3R,4R,5S,6R)-7-氮杂双环[4.1.0]庚烷-2,3,4,5-四醇
英文名 (1S,2S,3R,4R,5S,6R)-7-Azabicyclo[4.1.0]Heptane-2,3,4,5-Tetrol
别名 Conduritol Aziridine; 1,2-Dideoxy-1,2-Epimino-Myo-Inositol; 1,2-Dideoxy-1,2-Iminoinositol
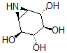
分子结构 CAS 登录号:123788-61-4, (1S,2S,3R,4R,5S,6R)-7-氮杂双环[4.1.0]庚烷-2,3,4,5-四醇
分子式 C6H11NO4
分子量 161.16
CAS 登录号 123788-61-4
分子行输入简码 SMILES [C@H]12N[C@H]1[C@H](O)[C@@H](O)[C@H](O)[C@H]2O
国际化学标识码 InChI 1S/C6H11NO4/c8-3-1-2(7-1)4(9)6(11)5(3)10/h1-11H/t1-,2+,3-,4-,5+,6+/m0/s1
国际化学标识检索码 InChIKey UVCVKSCVWUWBRS-UZAAGFTCSA-N
物理化学性质
密度 1.807g/cm3 (计算值)
沸点 345.043°C at 760 mmHg (计算值)
闪点 197.763°C (计算值)
市场分析报告
相关产品
3-(9-氮杂双环[3.3.1...  2-(9-氮杂双环[3.3.1...  9-氮杂双环[3.3.1]壬烷...  1-氮杂双环[3.3.2]壬烷...  1-氮杂双环[3.3.3]十一...  3-氮杂双环[4.1.0]庚-...  2-氮杂双环[4.1.0]庚-...  3-氮杂双环[4.1.0]庚-...  1-(7-氮杂双环[4.1.0...  7-氮杂双环[4.1.0]庚烷  7-氮杂双环[4.1.0]庚烷...  3-氮杂双环[4.2.0]辛-...  1-(7-氮杂双环[4.2.0...  2-氮杂双环[4.2.0]辛-...  3-氮杂双环[4.2.0]辛-...  7-氮杂双环[4.2.0]辛-...  2-氮杂双环[4.2.0]辛-...  1-氮杂双环[4.2.0]辛烷  3-氮杂双环[4.2.0]辛烷...  9-氮杂双环[4.2.1]壬-...