全球化学品在线数据库

1-(2-甲基-2-丙基)-3,3-二硝基吖丁啶
[CAS 125735-38-8]

供应商
CAS#: 125735-38-8
产品: 1-(2-甲基-2-丙基)-3,3-二硝基吖丁啶
暂时没有厂家供应该产品。
基本信息
产品名称 1-(2-甲基-2-丙基)-3,3-二硝基吖丁啶
英文名 1-(2-Methyl-2-Propanyl)-3,3-Dinitroazetidine
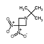
分子结构 CAS 登录号:125735-38-8, 1-(2-甲基-2-丙基)-3,3-二硝基吖丁啶
分子式 C7H13N3O4
分子量 203.20
CAS 登录号 125735-38-8
分子行输入简码 SMILES O=[N+]([O-])C1([N+]([O-])=O)CN(C(C)(C)C)C1
国际化学标识码 InChI 1S/C7H13N3O4/c1-6(2,3)8-4-7(5-8,9(11)12)10(13)14/h4-5H2,1-3H3
国际化学标识检索码 InChIKey YNVDAIOEJHCEQA-UHFFFAOYSA-N
物理化学性质
密度 1.286g/cm3 (计算值)
沸点 302.077°C at 760 mmHg (计算值)
闪点 136.492°C (计算值)
折射率 1.524 (计算值)
市场分析报告
相关产品
5-(2-甲基-2-丙基)-2...  5-(2-甲基-2-丙基)-2...  4-(2-甲基-2-丙基)-2...  1-(2-甲基-2-丙基)-2...  1-(2-甲基-2-丙基)-2...  1-(2-甲基-2-丙基)-2...  6-(2-甲基-2-丙基)-3...  5-(2-甲基-2-丙基)-3...  N-(2-甲基-2-丙基)-3...  1-(2-甲基-2-丙基)-3...  (6S)-6-(2-甲基-2-...  6-(2-甲基-2-丙基)-3...  (2R,3S,4S)-2-(2...  3-(2-甲基-2-丙基)-3...  6-(2-甲基-2-丙基)-3...  5-(2-甲基-2-丙基)-3...  N-(2-甲基-2-丙基)-3...  N-(2-甲基-2-丙基)-3...  6-(2-甲基-2-丙基)-3...  (3S)-1-(2-甲基-2-...