全球化学品在线数据库

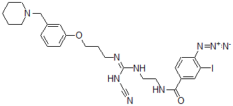
4-叠氮基-N-[2-[[N-氰基-N'-[3-[3-(哌啶-1-基甲基)苯氧基]丙基]甲脒基]氨基]乙基]-3-碘苯甲酰胺
[CAS 126632-02-8]

供应商
CAS#: 126632-02-8
产品: 4-叠氮基-N-[2-[[N-氰基-N'-[3-[3-(哌啶-1-基甲基)苯氧基]丙基]甲脒基]氨基]乙基]-3-碘苯甲酰胺
暂时没有厂家供应该产品。
基本信息
产品名称 4-叠氮基-N-[2-[[N-氰基-N'-[3-[3-(哌啶-1-基甲基)苯氧基]丙基]甲脒基]氨基]乙基]-3-碘苯甲酰胺
英文名 4-Azido-N-[2-[[N-Cyano-N'-[3-[3-(Piperidin-1-Ylmethyl)Phenoxy]Propyl]Carbamimidoyl]Amino]Ethyl]-3-Iodobenzamide
别名 4-Azido-N-[2-[[N-Cyano-N'-[3-[3-(1-Piperidylmethyl)Phenoxy]Propyl]Carbamimidoyl]Amino]Ethyl]-3-Iodo-Benzamide; 4-Azido-N-[2-[[(Cyanoamino)-[3-[3-(1-Piperidylmethyl)Phenoxy]Propylimino]Methyl]Amino]Ethyl]-3-Iodobenzamide; 4-Azido-N-[2-[[N-Cyano-N'-[3-[3-(Piperidinomethyl)Phenoxy]Propyl]Carbamimidoyl]Amino]Ethyl]-3-Iodo-Benzamide
分子结构 CAS 登录号:126632-02-8, 4-叠氮基-N-[2-[[N-氰基-N'-[3-[3-(哌啶-1-基甲基)苯氧基]丙基]甲脒基]氨基]乙基]-3-碘苯甲酰胺
分子式 C26H32IN9O2
分子量 629.50
CAS 登录号 126632-02-8
分子行输入简码 SMILES [N+](=NC3=C(I)C=C(C(=O)NCCNC(=NCCCOC1=CC=CC(=C1)CN2CCCCC2)NC#N)C=C3)=[N-]
国际化学标识码 InChI 1S/C26H32IN9O2/c27-23-17-21(8-9-24(23)34-35-29)25(37)30-11-12-32-26(33-19-28)31-10-5-15-38-22-7-4-6-20(16-22)18-36-13-2-1-3-14-36/h4,6-9,16-17H,1-3,5,10-15,18H2,(H,30,37)(H2,31,32,33)
国际化学标识检索码 InChIKey ZDEJFUULRAFTAI-UHFFFAOYSA-N
市场分析报告
相关产品
4-叠氮基-N-[(1,1-二...  4-叠氮基-N-[(1,1-二...  5-叠氮基-N-[(2R,3R...  4-叠氮基-N-[(2S)-1...  4-叠氮基-N-[4-(3-吡...  3-叠氮基-N-[(9H-芴-...  6-叠氮基-N-[(9H-芴-...  4-叠氮基-N-[2-[(2S...  4-叠氮基-N-[2-[[2-...  4-叠氮基-N'-[2-[[3...  4-叠氮基-N-[5-[2-[...  3-叠氮基-N-[苄氧羰基]-...  3-叠氮基-N-[叔丁氧羰基]...  6-叠氮基-N-[叔丁氧羰基]...  5-叠氮基-N-[叔丁氧羰基]...  5-叠氮基-N-[芴甲氧羰基]...  5-叠氮基-N-[芴甲氧羰基]...  1-叠氮基萘  2-叠氮基-萘  5-叠氮基萘-1-磺酸