全球化学品在线数据库

曲古霉素B
[CAS 12699-00-2]

供应商
CAS#: 12699-00-2
产品: 曲古霉素B
暂时没有厂家供应该产品。
基本信息
产品名称 曲古霉素B
英文名 Trichomycin B
别名 (19E,21E,23E,25E,27E,29E,31E)-33-[(2R,3S,4S,5S,6R)-4-Amino-3,5-Dihydroxy-6-Methyl-Tetrahydropyran-2-Yl]Oxy-17-[6-(4-Aminophenyl)-4-Hydroxy-1-Methyl-6-Oxo-Hexyl]-1,3,5,7,9,37-Hexahydroxy-18-Methyl-13,15-Dioxo-16,39-Dioxabicyclo[33.3.1]Nonatriaconta-19,21,23,25,27,29,31-Heptaene-36-Carboxylic Acid; (19E,21E,23E,25E,27E,29E,31E)-33-[[(2R,3S,4S,5S,6R)-4-Amino-3,5-Dihydroxy-6-Methyl-2-Tetrahydropyranyl]Oxy]-17-[6-(4-Aminophenyl)-4-Hydroxy-1-Methyl-6-Oxohexyl]-1,3,5,7,9,37-Hexahydroxy-18-Methyl-13,15-Dioxo-16,39-Dioxabicyclo[33.3.1]Nonatriaconta-19,21,23,25,27,29,31-Heptaene-36-Carboxylic Acid; (19E,21E,23E,25E,27E,29E,31E)-33-[(2R,3S,4S,5S,6R)-4-Amino-3,5-Dihydroxy-6-Methyl-Tetrahydropyran-2-Yl]Oxy-17-[6-(4-Aminophenyl)-4-Hydroxy-6-Keto-1-Methyl-Hexyl]-1,3,5,7,9,37-Hexahydroxy-13,15-Diketo-18-Methyl-16,39-Dioxabicyclo[33.3.1]Nonatriaconta-19,21,23,25,27,29,31-Heptaene-36-Carboxylic Acid
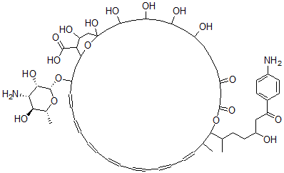
分子结构 CAS 登录号:12699-00-2, 曲古霉素B
分子式 C58H84N2O18
分子量 1097.30
CAS 登录号 12699-00-2
分子行输入简码 SMILES [C@@H]4(OC\3CC1OC(O)(CC(O)C1C(O)=O)CC(O)CC(O)CC(O)CC(O)CCCC(=O)CC(OC(C(CCC(O)CC(=O)C2=CC=C(N)C=C2)C)C(C)\C=C/C=C\C=C/C=C\C=C/C=C\C=C3)=O)O[C@@H]([C@@H](O)[C@H](N)[C@@H]4O)C
国际化学标识码 InChI 1S/C58H84N2O18/c1-35-17-14-12-10-8-6-4-5-7-9-11-13-15-20-46(76-57-54(71)52(60)53(70)37(3)75-57)32-49-51(56(72)73)48(68)34-58(74,78-49)33-45(66)29-44(65)28-43(64)27-40(61)18-16-19-41(62)31-50(69)77-55(35)36(2)21-26-42(63)30-47(67)38-22-24-39(59)25-23-38/h4-15,17,20,22-25,35-37,40,42-46,48-49,51-55,57,61,63-66,68,70-71,74H,16,18-19,21,26-34,59-60H2,1-3H3,(H,72,73)/b5-4-,8-6-,9-7-,12-10-,13-11-,17-14-,20-15-/t35?,36?,37-,40?,42?,43?,44?,45?,46?,48?,49?,51?,52+,53-,54+,55?,57+,58?/m1/s1
国际化学标识检索码 InChIKey LWTOHQGGAJCWFV-TYXMWASGSA-N
市场分析报告
相关产品
去-甘氨酰10,[D-苯丙氨酰...  去甘氨酰胺(9)-后叶催产素  曲格列汀  曲格列汀琥珀酸盐  曲格列汀盐酸盐  曲格列酮; (+/-)-5-[...  曲格列酮硫酸酯钠盐  18-去-谷氨酰-19-去-丝...  曲古柳菌素 A  曲古柳酸  去谷胃泌素  曲古抑菌素 C  N-去环丙基甲基-N-甲氧羰基...  去环丙基甲基纳呋拉啡  去环丙基乐伐替尼  去磺基辅酶 A  去磺基萝卜硫苷  4-去磺基-4-羟基匹可硫酸盐...  63-去磺基-水蛭素  2-去磺基-缩胆囊素-8(猪)