全球化学品在线数据库

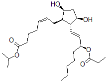
(Z)-7-[(1R,2R,3R,5S)-3,5-二羟基-2-[(E,3S)-3-丙酰氧基辛-1-烯基]环戊基]庚-5-烯酸丙-2-基酯
[CAS 134152-12-8]

供应商
CAS#: 134152-12-8
产品: (Z)-7-[(1R,2R,3R,5S)-3,5-二羟基-2-[(E,3S)-3-丙酰氧基辛-1-烯基]环戊基]庚-5-烯酸丙-2-基酯
暂时没有厂家供应该产品。
基本信息
产品名称 (Z)-7-[(1R,2R,3R,5S)-3,5-二羟基-2-[(E,3S)-3-丙酰氧基辛-1-烯基]环戊基]庚-5-烯酸丙-2-基酯
英文名 Propan-2-Yl (Z)-7-[(1R,2R,3R,5S)-3,5-Dihydroxy-2-[(E,3S)-3-Propanoyloxyoct-1-Enyl]Cyclopentyl]Hept-5-Enoate
别名 Isopropyl (Z)-7-[(1R,2R,3R,5S)-3,5-Dihydroxy-2-[(E,3S)-3-Propanoyloxyoct-1-Enyl]Cyclopentyl]Hept-5-Enoate; (Z)-7-[(1R,2R,3R,5S)-3,5-Dihydroxy-2-[(E,3S)-3-(1-Oxopropoxy)Oct-1-Enyl]Cyclopentyl]Hept-5-Enoic Acid Isopropyl Ester; (Z)-7-[(1R,2R,3R,5S)-3,5-Dihydroxy-2-[(E,3S)-3-Propionyloxyoct-1-Enyl]Cyclopentyl]Hept-5-Enoic Acid Isopropyl Ester
分子结构 CAS 登录号:134152-12-8, (Z)-7-[(1R,2R,3R,5S)-3,5-二羟基-2-[(E,3S)-3-丙酰氧基辛-1-烯基]环戊基]庚-5-烯酸丙-2-基酯
分子式 C26H44O6
分子量 452.63
CAS 登录号 134152-12-8
分子行输入简码 SMILES [C@H]1([C@H]([C@@H](O)C[C@H]1O)C\C=C/CCCC(OC(C)C)=O)\C=C\[C@@H](OC(=O)CC)CCCCC
国际化学标识码 InChI 1S/C26H44O6/c1-5-7-10-13-20(32-25(29)6-2)16-17-22-21(23(27)18-24(22)28)14-11-8-9-12-15-26(30)31-19(3)4/h8,11,16-17,19-24,27-28H,5-7,9-10,12-15,18H2,1-4H3/b11-8-,17-16+/t20-,21+,22+,23-,24+/m0/s1
国际化学标识检索码 InChIKey AVURBUBODITDLQ-GNHNHSQOSA-N
物理化学性质
密度 1.074g/cm3 (计算值)
沸点 541.707°C at 760 mmHg (计算值)
闪点 167.403°C (计算值)
市场分析报告
相关产品
N-[(2S,3R,4R,5S...  2-[8,11-二羟基-2-[...  N-[(3R,4R,5S,6R...  (2Z)-4,6-二羟基-2-...  1,4-二羟基-2-[(3-甲...  (5Z)-7-{(1R,2R,...  (Z)-7-[(1R,2R,3...  3-[(2R,3S,4S,6R...  (Z)-7-[(1R,2R,3...  (Z)-7-[(2R)-3,5...  (Z)-7-[(1R,2R,3...  7-[(1R,2R,3R,5S...  N-[1,2-二羟基-2-[[...  3',5'-二羟基-2-[[2...  3,4-二羟基-2-[[2-羟...  (2S,3S,4S,5R,6R...  3,4-二羟基-2-[[5-羟...  5,8-二羟基-2-[2-(4...  1,4-二羟基-2-[3-(2...  (2S)-5,7-二羟基-2-...