全球化学品在线数据库

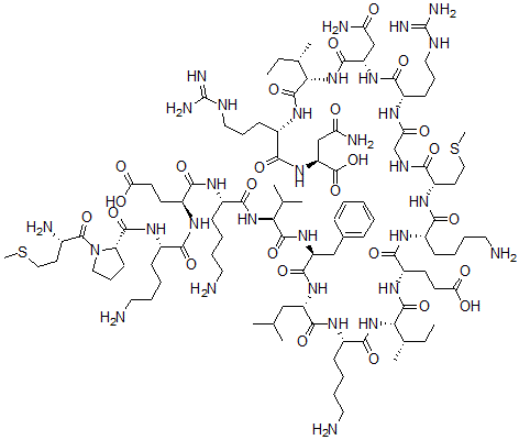
L-蛋氨酰-L-脯氨酰-L-赖氨酰-L-alpha-谷氨酰-L-赖氨酰-L-缬氨酰-L-苯丙氨酰-L-亮氨酰-L-赖氨酰-L-异亮氨酰-L-alpha-谷氨酰-L-赖氨酰-L-蛋氨酰甘氨酰-L-精氨酰-L-天冬氨酰胺酰-L-异亮氨酰-L-精氨酰-L-天冬氨酰胺
[CAS 135154-02-8]

供应商
CAS#: 135154-02-8
产品: L-蛋氨酰-L-脯氨酰-L-赖氨酰-L-alpha-谷氨酰-L-赖氨酰-L-缬氨酰-L-苯丙氨酰-L-亮氨酰-L-赖氨酰-L-异亮氨酰-L-alpha-谷氨酰-L-赖氨酰-L-蛋氨酰甘氨酰-L-精氨酰-L-天冬氨酰胺酰-L-异亮氨酰-L-精氨酰-L-天冬氨酰胺
暂时没有厂家供应该产品。
基本信息
产品名称 L-蛋氨酰-L-脯氨酰-L-赖氨酰-L-alpha-谷氨酰-L-赖氨酰-L-缬氨酰-L-苯丙氨酰-L-亮氨酰-L-赖氨酰-L-异亮氨酰-L-alpha-谷氨酰-L-赖氨酰-L-蛋氨酰甘氨酰-L-精氨酰-L-天冬氨酰胺酰-L-异亮氨酰-L-精氨酰-L-天冬氨酰胺
英文名 L-methionyl-L-prolyl-L-lysyl-L-alpha-glutamyl-L-lysyl-L-valyl-L-phenylalanyl-L-leucyl-L-lysyl-L-isoleucyl-L-alpha-glutamyl-L-lysyl-L-methionylglycyl-L-arginyl-L-asparaginyl-L-isoleucyl-L-arginyl-L-Asparagine
别名 L-Asparagine, L-Methionyl-L-Prolyl-L-Lysyl-L-Alpha-Glutamyl-L-Lysyl-L-Valyl-L-Phenylalanyl-L-Leucyl-L-Lysyl-L-Isoleucyl-L-Alpha-Glutamyl-L-Lysyl-L-Methionylglycyl-L-Arginyl-L-Asparaginyl-L-Isoleucyl-L-Arginyl-
分子结构 CAS 登录号:135154-02-8, L-蛋氨酰-L-脯氨酰-L-赖氨酰-L-alpha-谷氨酰-L-赖氨酰-L-缬氨酰-L-苯丙氨酰-L-亮氨酰-L-赖氨酰-L-异亮氨酰-L-alpha-谷氨酰-L-赖氨酰-L-蛋氨酰甘氨酰-L-精氨酰-L-天冬氨酰胺酰-L-异亮氨酰-L-精氨酰-L-天冬氨酰胺
分子式 C103H179N31O26S2
分子量 2331.86
CAS 登录号 135154-02-8
分子行输入简码 SMILES [C@@H]1(N(C(=O)[C@@H](N)CCSC)CCC1)C(=O)N[C@H](C(=O)N[C@H](C(=O)N[C@H](C(=O)N[C@H](C(=O)N[C@H](C(=O)N[C@H](C(=O)N[C@H](C(=O)N[C@H](C(=O)N[C@H](C(=O)N[C@H](C(=O)N[C@H](C(=O)NCC(=O)N[C@H](C(=O)N[C@H](C(=O)N[C@H](C(=O)N[C@H](C(=O)N[C@H](C(=O)O)CC(=O)N)CCCNC(=N)N)[C@H](CC)C)CC(=O)N)CCCNC(=N)N)CCSC)CCCCN)CCC(=O)O)[C@H](CC)C)CCCCN)CC(C)C)CC2=CC=CC=C2)C(C)C)CCCCN)CCC(=O)O)CCCCN
国际化学标识码 InChI 1S/C103H179N31O26S2/c1-11-58(7)82(99(157)126-69(37-39-80(140)141)90(148)119-63(29-16-20-42-104)86(144)123-70(41-50-162-10)84(142)117-55-78(137)118-62(33-24-46-115-102(111)112)85(143)128-73(53-76(109)135)95(153)133-83(59(8)12-2)98(156)125-67(34-25-47-116-103(113)114)88(146)130-74(101(159)160)54-77(110)136)132-92(150)66(32-19-23-45-107)121-93(151)71(51-56(3)4)127-94(152)72(52-60-27-14-13-15-28-60)129-97(155)81(57(5)6)131-91(149)65(31-18-22-44-106)120-89(147)68(36-38-79(138)139)122-87(145)64(30-17-21-43-105)124-96(154)75-35-26-48-134(75)100(158)61(108)40-49-161-9/h13-15,27-28,56-59,61-75,81-83H,11-12,16-26,29-55,104-108H2,1-10H3,(H2,109,135)(H2,110,136)(H,117,142)(H,118,137)(H,119,148)(H,120,147)(H,121,151)(H,122,145)(H,123,144)(H,124,154)(H,125,156)(H,126,157)(H,127,152)(H,128,143)(H,129,155)(H,130,146)(H,131,149)(H,132,150)(H,133,153)(H,138,139)(H,140,141)(H,159,160)(H4,111,112,115)(H4,113,114,116)/t58-,59-,61-,62-,63-,64-,65-,66-,67-,68-,69-,70-,71-,72-,73-,74-,75-,81-,82-,83-/m0/s1
国际化学标识检索码 InChIKey PENHKBGWTAXOEK-AZDHBHGGSA-N
市场分析报告
相关产品
L-蛋氨酰-L-丙氨酰-L-丝...  L-蛋氨酰-L-蛋氨酸  D-蛋氨酰-D-蛋氨酸  L-蛋氨酰-L-蛋氨酰-L-丙...  L-蛋氨酰-L-蛋氨酰-L-蛋...  L-蛋氨酰对硝基苯胺  L-蛋氨酰-L-脯氨酸  L-蛋氨酰-L-脯氨酰-L-苯...  L-蛋氨酰-L-脯氨酰-D-苯...  L-蛋氨酰-L-脯氨酰-L-精...  L-蛋氨酰甘氨酰甘氨酸  L-蛋氨酰甘氨酰-L-亮氨酰甘...  L-蛋氨酰甘氨酰-L-亮氨酰-...  N-L-蛋氨酰-干扰素A(人白...  L-蛋氨酰-L-谷氨酸  蛋氨酰-谷氨酰胺酸  L-蛋氨酰-L-谷氨酰胺酰-L...  L-蛋氨酰-L-谷氨酰胺酰-L...  蛋氨酰-谷氨酰-组氨酰-苯丙氨...  L-蛋氨酰基甘氨酸