全球化学品在线数据库

[(2R)-1-[[2-[(2-氨基-6-氧代-3H-嘌呤-9-基)甲氧基]乙氧基-羟基磷酰]氧基-羟基磷酰]氧基-3-十四碳酰氧基丙-2-基]十四烷酸酯
[CAS 139701-81-8]

供应商
CAS#: 139701-81-8
产品: [(2R)-1-[[2-[(2-氨基-6-氧代-3H-嘌呤-9-基)甲氧基]乙氧基-羟基磷酰]氧基-羟基磷酰]氧基-3-十四碳酰氧基丙-2-基]十四烷酸酯
暂时没有厂家供应该产品。
基本信息
产品名称 [(2R)-1-[[2-[(2-氨基-6-氧代-3H-嘌呤-9-基)甲氧基]乙氧基-羟基磷酰]氧基-羟基磷酰]氧基-3-十四碳酰氧基丙-2-基]十四烷酸酯
英文名 [(2R)-1-[[2-[(2-Amino-6-Oxo-3H-Purin-9-Yl)Methoxy]Ethoxy-Hydroxyphosphoryl]Oxy-Hydroxyphosphoryl]Oxy-3-Tetradecanoyloxypropan-2-Yl] Tetradecanoate
别名 [(1R)-1-[[[2-[(2-Amino-6-Oxo-3H-Purin-9-Yl)Methoxy]Ethoxy-Hydroxy-Phosphoryl]Oxy-Hydroxy-Phosphoryl]Oxymethyl]-2-Tetradecanoyloxy-Ethyl] Tetradecanoate; Tetradecanoic Acid [(1R)-1-[[[2-[(2-Amino-6-Oxo-3H-Purin-9-Yl)Methoxy]Ethoxy-Hydroxyphosphoryl]Oxy-Hydroxyphosphoryl]Oxymethyl]-2-(1-Oxotetradecoxy)Ethyl] Ester; Myristic Acid [(1R)-1-[[[2-[(2-Amino-6-Keto-3H-Purin-9-Yl)Methoxy]Ethoxy-Hydroxy-Phosphoryl]Oxy-Hydroxy-Phosphoryl]Oxymethyl]-2-Tetradecanoyloxy-Ethyl] Ester
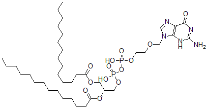
分子结构 CAS 登录号:139701-81-8, [(2R)-1-[[2-[(2-氨基-6-氧代-3H-嘌呤-9-基)甲氧基]乙氧基-羟基磷酰]氧基-羟基磷酰]氧基-3-十四碳酰氧基丙-2-基]十四烷酸酯
分子式 C39H71N5O13P2
分子量 879.96
CAS 登录号 139701-81-8
分子行输入简码 SMILES [C@H](CO[P](O[P](OCCOC[N]1C=NC2=C1NC(=NC2=O)N)(=O)O)(=O)O)(COC(CCCCCCCCCCCCC)=O)OC(=O)CCCCCCCCCCCCC
国际化学标识码 InChI 1S/C39H71N5O13P2/c1-3-5-7-9-11-13-15-17-19-21-23-25-34(45)53-29-33(56-35(46)26-24-22-20-18-16-14-12-10-8-6-4-2)30-55-59(50,51)57-58(48,49)54-28-27-52-32-44-31-41-36-37(44)42-39(40)43-38(36)47/h31,33H,3-30,32H2,1-2H3,(H,48,49)(H,50,51)(H3,40,42,43,47)/t33-/m1/s1
国际化学标识检索码 InChIKey FSGKYMRFBHSKFV-MGBGTMOVSA-N
物理化学性质
密度 1.291g/cm3 (计算值)
沸点 926.646°C at 760 mmHg (计算值)
闪点 514.217°C (计算值)
市场分析报告
相关产品
[(2R,3S,4R,5R)-...  3-[(2R,3R,4S,5R...  [(3R,4R,5R)-2-(...  [(2R,3S,4R,5S)-...  [(2R,5S)-2-(2-氨...  3-(2-氨基-6-氧代-3H...  [2-[(2-氨基-6-氧代-...  [3-[(2-氨基-6-氧代-...  [(3R)-3-[(2-氨基-...  2-[(2-氨基-6-氧代-3...  [[2-[(2-氨基-6-氧代...  (2-氨基-6-氧代-3H-嘌...  2-氨基-6-氧代-4,5,6...  (S)-[5-氨基-6-氧代-...  [(2R,3S,4R,5R)-...  (2E,4E)-4-氨基-6-...  2-氨基-6-氧代-己酸  3-氨基-6-氧杂双环[3.1...  4-氨基-6-异丙基-1,3,...  4-氨基-6-异丙基-1-甲基...