基本信息
| 产品名称 |
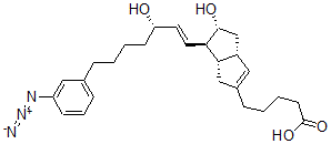
5-[(3aS,5R,6R,6aS)-6-[(E,3S)-7-(3-叠氮基苯基)-3-羟基庚-1-烯基]-5-羟基-1,3a,4,5,6,6a-六氢戊搭烯-2-基]戊酸 |
| 英文名 |
5-[(3aS,5R,6R,6aS)-6-[(E,3S)-7-(3-Azidophenyl)-3-Hydroxyhept-1-Enyl]-5-Hydroxy-1,3a,4,5,6,6a-Hexahydropentalen-2-Yl]Pentanoic Acid |
| 别名 |
5-[(3As,5R,6R,6As)-6-[(E,3S)-7-(3-Azidophenyl)-3-Hydroxy-Hept-1-Enyl]-5-Hydroxy-1,3A,4,5,6,6A-Hexahydropentalen-2-Yl]Pentanoic Acid; 5-[(3As,5R,6R,6As)-6-[(E,3S)-7-(3-Azidophenyl)-3-Hydroxy-Hept-1-Enyl]-5-Hydroxy-1,3A,4,5,6,6A-Hexahydropentalen-2-Yl]Valeric Acid; (3H)Apnic |
|
| 分子结构 |
![CAS 登录号:140900-65-8, 5-[(3aS,5R,6R,6aS)-6-[(E,3S)-7-(3-叠氮基苯基)-3-羟基庚-1-烯基]-5-羟基-1,3a,4,5,6,6a-六氢戊搭烯-2-基]戊酸](/moreStructures/140900-65-8.gif) |
| 分子式 |
C26H35N3O4 |
| 分子量 |
453.58 |
| CAS 登录号 |
140900-65-8 |
| 分子行输入简码 SMILES |
[N+](=NC1=CC(=CC=C1)CCCC[C@H](O)/C=C/[C@@H]2[C@@H]3[C@H](C[C@H]2O)C=C(C3)CCCCC(=O)O)=[N-] |
| 国际化学标识码 InChI |
1S/C26H35N3O4/c27-29-28-21-9-5-8-18(15-21)6-1-3-10-22(30)12-13-23-24-16-19(7-2-4-11-26(32)33)14-20(24)17-25(23)31/h5,8-9,12-15,20,22-25,30-31H,1-4,6-7,10-11,16-17H2,(H,32,33)/b13-12+/t20-,22-,23+,24-,25+/m0/s1 |
| 国际化学标识检索码 InChIKey |
XKQBJDHJRVDQBU-DHLVSJIASA-N |
|