全球化学品在线数据库

2,3,4,6-四-O-苄基-D-山梨糖醇
[CAS 14233-48-8]

供应商
卡博森斯化学科技 (苏州) 有限公司 中国
+86 (512) 6260-5585
sales@carbosynth.com
QQ 交流
化学品生产商(2006 年起)
化学品供销商(2006 年起)
chemBlink 集群供应商(2016 年起)
Biosynth AG. 瑞士
+41 (71) 858-2020
welcome@biosynth.ch
化学品生产商
Glentham Life Sciences 英国
+44 (2033) 978-798
info@glenthamls.com
化学品供销商(2013 年起)
基本信息
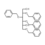
产品名称 2,3,4,6-四-O-苄基-D-山梨糖醇
英文名 2,3,4,6-Tetra-O-Benzyl-D-Glucitol
别名 1,3,4,5-TETRA-O-BENZYL-D-GLUCITOL
分子结构 CAS 登录号:14233-48-8, 2,3,4,6-四-O-苄基-D-山梨糖醇
分子式 C34H38O6
分子量 542.66
CAS 登录号 14233-48-8
分子行输入简码 SMILES c1ccc(cc1)COCC(C(C(C(CO)OCc2ccccc2)OCc3ccccc3)OCc4ccccc4)O
国际化学标识码 InChI 1S/C34H38O6/c35-21-32(38-23-28-15-7-2-8-16-28)34(40-25-30-19-11-4-12-20-30)33(39-24-29-17-9-3-10-18-29)31(36)26-37-22-27-13-5-1-6-14-27/h1-20,31-36H,21-26H2
国际化学标识检索码 InChIKey MQOUZFJJURBWAX-UHFFFAOYSA-N
物理化学性质
密度 1.184g/cm3 (计算值)
沸点 695.835°C at 760 mmHg (计算值)
闪点 374.628°C (计算值)
折射率 1.597 (计算值)
市场分析报告
相关产品
2,3,4,6-四-O-苄基-...  2,3,4,6-四-O-苄基-...  2,3,4,6-四-O-苄基-...  2,3,4,6-四-O-苄基-...  2,3,4,6-四-O-苄基-...  2,3,4,6-四-O-苄基-...  2,3,4,6-四-O-苄基吡...  2,3,4,6-四-O-苄基-...  2,3,4,6-四-O-苄基-...  2,3,4,6-四-O-苄基-...  2,3,4,6-四-O-苄基己...  1,4,5,6-四-O-苄基-...  1,3,4,6-四-O-磺基-...  2,3,4,6-四-O-甲基-...  1,3,4,6-四-O-甲基-...  2,3,4,6-四-O-甲基-...  四-O-甲基野黄芩素  1,3,4,6-四-O-没食子...  2,3,4,6-四-O-三甲基...  1,3,4,6-四-O-十四碳...