| 成都普瑞法科技开发有限公司 | 中国 | |||
|---|---|---|---|---|
![]() | www.phytopurify.com | |||
![]() | +86 (28) 8263-3860 8263-3987 | |||
![]() | +86 (28) 8263-3165 | |||
![]() | sales@biopurify.com biopurify@gmail.com | |||
![]() | QQ Chat | |||
![]() | Skype Chat | |||
| 化学品生产商 | ||||
| chemBlink 标准供应商 (2017年起) | ||||
| 常州新星联生物科技有限公司 | 中国 | |||
|---|---|---|---|---|
![]() | www.neostarunited.com | |||
![]() | +86 (519) 8555-7386 +86 18015025600 | |||
![]() | +86 (519) 8555-7389 | |||
![]() | marketing1@neostarunited.com | |||
| 化学品供销商 (2014年起) | ||||
| chemBlink 标准供应商 (2020年起) | ||||
| Indofine Chemical Company, Inc. | 美国 | |||
|---|---|---|---|---|
![]() | www.indofinechemical.com | |||
![]() | +1 (888) 463-6346 | |||
![]() | +1 (908) 359-1179 | |||
![]() | info@indofinechemical.com | |||
| 化学品生产商 (1981年起) | ||||
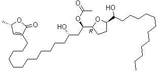
| 产品名称 | 大花紫玉盘脂素 |
|---|---|
| 英文名 | Uvarigranin |
| 分子结构 | ![]() |
| 分子式 | C39H70O7 |
| 分子量 | 650.97 |
| CAS 登录号 | 167425-75-4 |
| 溶解度 | 不溶 (3.7E-5 g/L) (25 °C), 计算值* |
|---|---|
| 密度 | 1.013±0.06 g/cm3 (20 °C 760 Torr), 计算值* |
| * | 使用计算机软件 Advanced Chemistry Development (ACD/Labs) Software V11.02 (©1994-2013 ACD/Labs) |
| 市场分析报告 |