全球化学品在线数据库

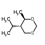
(5R,6R)-5-异丙基-6-甲基-1,3-氧硫杂环已烷
[CAS 170960-94-8]

供应商
深圳爱拓化学有限公司 中国
+86 13417589054/
info@atomaxchem.com,atomax.chemicals@gmail.com
QQ 交流
化学品生产商
基本信息
产品名称 (5R,6R)-5-异丙基-6-甲基-1,3-氧硫杂环已烷
英文名 (5R,6R)-5-Isopropyl-6-Methyl-1,3-Oxathiane
别名 (5R,6R)-5-isopropyl-6-methyl-1,3-oxathiane
分子结构 CAS 登录号:170960-94-8, (5R,6R)-5-异丙基-6-甲基-1,3-氧硫杂环已烷
分子式 C8H16OS
分子量 160.28
CAS 登录号 170960-94-8
分子行输入简码 SMILES C[C@@H]1[C@H](CSCO1)C(C)C
国际化学标识码 InChI 1S/C8H16OS/c1-6(2)8-4-10-5-9-7(8)3/h6-8H,4-5H2,1-3H3/t7-,8-/m1/s1
国际化学标识检索码 InChIKey RNICGPAMJAQHEW-HTQZYQBOSA-N
物理化学性质
密度 0.948g/cm3 (计算值)
沸点 219.475°C at 760 mmHg (计算值)
闪点 86.536°C (计算值)
折射率 1.466 (计算值)
市场分析报告
相关产品
(1R,2S,3R,6R)-3...  (1R,2R,3S,6R)-3...  (1R,2S,3S,6R)-3...  2-异丙基-6-甲基-1,3,...  4-异丙基-6-甲基-1,3,...  N-异丙基-6-甲基-1,3-...  4-异丙基-6-甲基-1,3-...  (5R,6S)-5-异丙基-6...  (5R,6R)-5-异丙基-6...  (5R,6S)-5-异丙基-6...  2-异丙基-6-甲基-1,3-...  2-异丙基-6-甲基-1,4-...  3-异丙基-6-甲基-1,4-...  3-异丙基-6-甲基-1,5,...  3-异丙基-6-甲基-1,5-...  3-异丙基-6-甲基-1-苯并...  2-异丙基-6-甲基-1H-苯...  2-异丙基-6-甲基-1H-吡...  8-异丙基-6-甲基-1H-嘌...  N-异丙基-6-甲基-1-环己...