| 别名 |
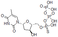
[Hydroxy-[[(2R,3S,5R)-3-Hydroxy-5-(5-Methyl-2,4-Dioxo-Pyrimidin-1-Yl)Tetrahydrofuran-2-Yl]Methoxy]Phosphinothioyl] Phosphono Hydrogen Phosphate; [Hydroxy-[[(2R,3S,5R)-3-Hydroxy-5-(5-Methyl-2,4-Dioxo-1-Pyrimidinyl)-2-Tetrahydrofuranyl]Methoxy]Phosphinothioyl] Phosphono Hydrogen Phosphate; [[(2R,3S,5R)-5-(2,4-Diketo-5-Methyl-Pyrimidin-1-Yl)-3-Hydroxy-Tetrahydrofuran-2-Yl]Methoxy-Hydroxy-Thiophosphoryl] Phosphono Hydrogen Phosphate |
| 国际化学标识码 InChI |
1S/C10H17N2O13P3S/c1-5-3-12(10(15)11-9(5)14)8-2-6(13)7(23-8)4-22-28(21,29)25-27(19,20)24-26(16,17)18/h3,6-8,13H,2,4H2,1H3,(H,19,20)(H,21,29)(H,11,14,15)(H2,16,17,18)/t6-,7+,8+,28?/m0/s1 |