全球化学品在线数据库

酸枣仁皂甙 D
[CAS 194851-84-8]

供应商目录
Wilshire Technologies, Inc. 美国
www.wilshiretechnologies.com
+1 (609) 683-1117
+1 (732) 274-0049
Wilshire-info@evonik.com
化学品生产商 (1997年起)
chemBlink 标准供应商 (2010年起)
BOC Sciences 美国
www.bocsci.com
+1 (631) 485-4226
+1 (631) 614-7828
info@bocsci.com
化学品生产商
chemBlink 标准供应商 (2010年起)
成都普瑞法科技开发有限公司 中国
www.phytopurify.com
+86 (28) 8263-3860
8263-3987
+86 (28) 8263-3165
sales@biopurify.com
biopurify@gmail.com
QQ Chat
Skype Chat
化学品生产商
chemBlink 标准供应商 (2017年起)
常州新星联生物科技有限公司 中国
www.neostarunited.com
+86 (519) 8555-7386
+86 18015025600
+86 (519) 8555-7389
marketing1@neostarunited.com
化学品供销商 (2014年起)
chemBlink 标准供应商 (2020年起)

基本信息
产品分类生物化工 >> 植物提取物
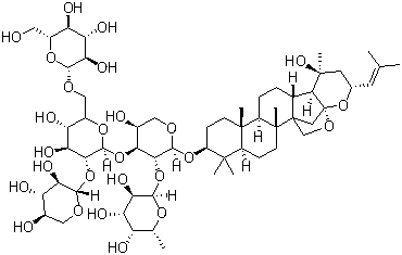
产品名称酸枣仁皂甙 D
英文名Jujuboside D
别名Jujuboside A1; (3beta,16beta,23R)-16,23:16,30-Diepoxy-20-hydroxydammar-24-en-3-yl O-6-deoxy-alpha-D-galactopyranosyl-(1-2)-O-[O-beta-D-glucopyranosyl-(1-6)-O-[beta-D-xylopyranosyl-(1-2)]-beta-D-glucopyranosyl-(1-3)]-alpha-L-arabinopyranoside
分子结构酸枣仁皂甙 D分子结构 (CAS 194851-84-8)
分子式C58H94O26
分子量1207.35
CAS 登录号194851-84-8
物理化学性质
密度1.50
市场分析报告
相关产品
酸性棕 58  酸性棕 75  酸性棕 75  酸性棕 83  酸性棕 85  酸性棕 97  酸性棕 97  酸性棕 98  C.I.酸性棕355  酸枣仁碱 Ia  酸枣仁皂苷 A  酸枣仁皂苷 B  酸枣仁皂苷 B1  Subacaulin  DL-苏-beta-羟基天冬氨...  Sucraloxum  苏丹-1  苏丹红 7B  苏丹可乐果提取物  苏丹绿 BB