全球化学品在线数据库

3-(三甲基铵)丙烷磺酸内盐
[CAS 21865-17-8]

供应商
CAS#: 21865-17-8
产品: 3-(三甲基铵)丙烷磺酸内盐
暂时没有厂家供应该产品。
基本信息
产品名称 3-(三甲基铵)丙烷磺酸内盐
英文名 3-(Trimethylammonium)Propanesulfonate, Inner Salt
别名 3-Trimethylammoniopropane-1-Sulfonate; 3-(Trimethyl-.Lambda.~5~-Azanyl)-1-Propanesulfonic Acid; 1-Propanaminium, N,N,N-Trimethyl-3-Sulfo-, Hydroxide, Inner Salt (9Ci)
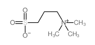
分子结构 CAS 登录号:21865-17-8, 3-(三甲基铵)丙烷磺酸内盐
分子式 C6H15NO3S
分子量 181.25
CAS 登录号 21865-17-8
分子行输入简码 SMILES C(CC[S](=O)(=O)[O-])[N+](C)(C)C
国际化学标识码 InChI 1S/C6H15NO3S/c1-7(2,3)5-4-6-11(8,9)10/h4-6H2,1-3H3
国际化学标识检索码 InChIKey WFJHXXPYPMNRPK-UHFFFAOYSA-N
市场分析报告
相关产品
(4aS,9aR)-3,5,5...  4,12,12-三甲基-9-亚...  4,12,12-三甲基-9-亚...  5,8,8-三甲基-9-氧杂-...  2,4,6-三甲基-alpha...  3,5,6-三甲基-alpha...  4,4,6-三甲基-alpha...  N,N,N-三甲基-alpha...  2,4,6-三甲基-alpha...  [3-(三甲基铵)丙基]甲烷硫...  [7-(三甲基铵)庚基]甲烷硫...  [1-(三甲基铵)甲基]甲烷硫...  4-(三甲基铵)甲基苯硼酸溴化...  [2-(三甲基铵)乙基]甲苯硫...  N-[2-(三甲基铵)乙基]马...  4-三甲基铵安替比林  5'-三甲基铵-delta(8...  4-(N,N,N-三甲基氨基)...  1-(4-(三甲基氨基)苯基)...  2-(三甲基铵基)乙基氢磷酸酯...