全球化学品在线数据库

二乙烯三胺五亚甲基膦酸钠
[CAS 22042-96-2]

供应商目录
江苏科利恩净水科技有限公司 中国
www.kelien.com
+86 (519) 8366-1998
+86 (519) 8366-1152
info@kelien.com
化学品生产商
chemBlink 标准供应商 (2005年起)
山东省泰和水处理有限公司 中国
www.thwater.net
+86 (632) 511-3066
+86 (632) 346-0156
th@thwater.com
化学品生产商
chemBlink 标准供应商 (2008年起)
厦门志信化学有限公司 中国
www.simagchem.com
+86 13806087780
+86 (592) 268-0237
sale@simagchem.com
化学品生产商 (2002年起)
chemBlink 标准供应商 (2008年起)
常州市润洋化工有限公司 中国
www.yilichem.cn
+86 (519) 8860-1518
+86 (519) 8860-1027
pailove@sina.com
myabby@vip.qq.com
QQ Chat
化学品生产商 (1995年起)
chemBlink 标准供应商 (2009年起)
枣庄市鑫泰水处理技术有限公司 中国
www.xintaiwater.com
+86 (632) 346-1066
+86 (632) 346-1077
xintaiwater@163.com
化学品生产商

基本信息
产品分类有机原料 >> 有机膦化合物
产品名称二乙烯三胺五亚甲基膦酸钠
英文名Diethylenetriaminepenta(methylenephosphonicacid) sodium salt
别名DTPMP-Na
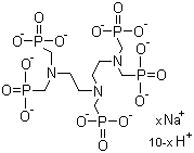
分子结构二乙烯三胺五亚甲基膦酸钠分子结构 (CAS 22042-96-2)
分子式C9H28N3O15P5.xNa
CAS 登录号22042-96-2
EC 号码244-751-4
安全数据
危害分类
up    说明
危害分类类别码危害标签
对金属有腐蚀作用的物质或混合物Met. Corr.1H290
眼刺激Eye Irrit.2H319
皮肤刺激Skin Irrit.2H315
对水生环境长期有害Aquatic Chronic4H413
严重眼损伤Eye Dam.1H318
皮肤腐蚀Skin Corr.1BH314
皮肤腐蚀Skin Corr.1AH314
市场分析报告
相关产品
二乙烯三胺和三乙烯四胺松油脂肪...  3-(二乙烯三氨基)丙基-功能...  二乙烯三胺-甲醛聚合物,苄基化...  二乙烯三胺基丙基三甲氧基硅烷  二乙烯三胺聚氧丙烯聚氧乙烯醚  二乙烯三胺三乙酸三氟乙酰胺三(...  二乙烯三胺四乙酸  二乙烯三胺五醋酸  二乙烯三胺五甲叉膦酸  二乙烯三胺五膦酸十铵盐  二乙烯三胺五乙酸-1-羟基-3...  二乙烯三胺五乙酸-4-氨基丁烷...  (二乙烯三胺五乙酸-苯丙氨酰(...  二乙烯三胺五乙酸锝-99 盐  二乙烯三胺五乙酸镝二钠盐  二乙烯三胺五乙酸钙三钠盐  二乙烯三胺五乙酸钴三钠盐  二乙烯三胺五乙酸镨  二乙烯三胺五乙酸铁螯合物  二乙烯三胺五乙酸铁二钾盐