全球化学品在线数据库

鸟苷酰-2'-5'-鸟苷
[CAS 22886-44-8]

供应商
CAS#: 22886-44-8
产品: 鸟苷酰-2'-5'-鸟苷
暂时没有厂家供应该产品。
基本信息
产品名称 鸟苷酰-2'-5'-鸟苷
英文名 Guanylyl-2'-5'-Guanosine
别名 Bis[[(2R,3S,4R,5R)-5-(2-Amino-6-Oxo-3H-Purin-9-Yl)-3,4-Dihydroxy-Tetrahydrofuran-2-Yl]Methyl] Hydrogen Phosphate; Bis[[(2R,3S,4R,5R)-5-(2-Amino-6-Oxo-3H-Purin-9-Yl)-3,4-Dihydroxy-2-Tetrahydrofuranyl]Methyl] Hydrogen Phosphate; Bis[[(2R,3S,4R,5R)-5-(2-Amino-6-Keto-3H-Purin-9-Yl)-3,4-Dihydroxy-Tetrahydrofuran-2-Yl]Methyl] Hydrogen Phosphate
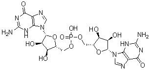
分子结构 CAS 登录号:22886-44-8, 鸟苷酰-2'-5'-鸟苷
分子式 C20H25N10O12P
分子量 628.45
CAS 登录号 22886-44-8
分子行输入简码 SMILES [C@H]1(O)[C@@H](O)[C@@H](O[C@@H]1CO[P](OC[C@H]4O[C@@H]([N]2C3=C(N=C2)C(=O)N=C(N3)N)[C@H](O)[C@@H]4O)(O)=O)[N]5C6=C(N=C5)C(=O)N=C(N6)N
国际化学标识码 InChI 1S/C20H25N10O12P/c21-19-25-13-7(15(35)27-19)23-3-29(13)17-11(33)9(31)5(41-17)1-39-43(37,38)40-2-6-10(32)12(34)18(42-6)30-4-24-8-14(30)26-20(22)28-16(8)36/h3-6,9-12,17-18,31-34H,1-2H2,(H,37,38)(H3,21,25,27,35)(H3,22,26,28,36)/t5-,6-,9-,10-,11-,12-,17-,18-/m1/s1
国际化学标识检索码 InChIKey QGUPIPHRRVWCEJ-MHARETSRSA-N
物理化学性质
密度 2.508g/cm3 (计算值)
沸点 1202.197°C at 760 mmHg (计算值)
闪点 680.864°C (计算值)
市场分析报告
相关产品
鸟苷酸钙  尿苷酸钠  5'-鸟苷酸与 5'-尿甙酸聚...  5'-鸟苷酸与 5'-腺苷酸络...  5'-鸟苷酸与5'-肌苷酸的聚...  5'-鸟苷酸与硫代磷酸单酸酐三...  鸟苷酰-(3'->5')-尿苷...  鸟苷酰-(3'-5')-3'-...  鸟苷酰-(3'-5')-尿苷  鸟苷酰(3'-5')尿苷 3'...  鸟苷酰-2'-5'-腺苷铵盐  鸟苷酰-3'-5'-胞苷铵盐  尿苷酰基(2'->5')尿苷铵...  尿苷酰基-(2'-5')-腺苷  尿苷酰基-(3',5')-尿苷  尿苷酰基(3'->5')尿苷铵...  (S)-尿苷酰基-(3'→5'...  尿苷酰基-(3'-5')-腺苷...  5'-鸟苷酰甲烷二膦酸酯  尿苷溴乙酰甲醇 5'-二磷酸酯