全球化学品在线数据库

N,N,N,N',N',N'-六甲基-1,2-乙烷二铵二氯化物
[CAS 23252-62-2]

供应商
CAS#: 23252-62-2
产品: N,N,N,N',N',N'-六甲基-1,2-乙烷二铵二氯化物
暂时没有厂家供应该产品。
基本信息
产品名称 N,N,N,N',N',N'-六甲基-1,2-乙烷二铵二氯化物
英文名 N,N,N,N',N',N'-Hexamethyl-1,2-Ethanediaminium Dichloride
别名 ethylenebis(trimethylammonium) dichloride
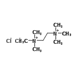
分子结构 CAS 登录号:23252-62-2, N,N,N,N',N',N'-六甲基-1,2-乙烷二铵二氯化物
分子式 C8H22Cl2N2
分子量 217.18
CAS 登录号 23252-62-2
EINECS 登录号 245-525-8
分子行输入简码 SMILES [Cl-].[Cl-].C[N+](C)(C)CC[N+](C)(C)C
国际化学标识码 InChI 1S/C8H22N2.2ClH/c1-9(2,3)7-8-10(4,5)6;;/h7-8H2,1-6H3;2*1H/q+2;;/p-2
国际化学标识检索码 InChIKey CVJXNAGSDFWQFN-UHFFFAOYSA-L
物理化学性质
折射率 (计算值)
市场分析报告
相关产品
4-硫基-8-喹啉磺酸  2-硫基-9,10-蒽醌  六甲铵氯化物  N,N,N,N',N',N'-...  N4,N4,N5,N5,2,2...  1,3,3,5,5,7-六甲基...  3,3',4,4',5,5'-...  3,3,6,6,9,9-六甲基...  2,2,4,4,6,6-六甲基...  N,N,N,N',N',N'-...  2,2,4,4,6,6-六甲基...  2,2,4,4,5,5-六甲基...  1,1,3,3,5,5-六甲基...  1,2,3,4,5,5-六甲基...  5,5,7,12,12,14-...  1,1,3,3,5,5-六甲基...  1,1,3,3,5,5-六甲基...  N,N,N,N',N',N'-...  N,N,N,N',N',N'-...  N,N,N,N',N',N'-...