|
CAS#: 24551-86-8 产品: 2-丁基-1,1-二氯-3-乙基环丙烷 暂时没有厂家供应该产品。 |
| 产品名称 | 2-丁基-1,1-二氯-3-乙基环丙烷 |
|---|---|
| 英文名 | 2-Butyl-1,1-Dichloro-3-Ethylcyclopropane |
| 别名 | 2-Butyl-1,1-dichloro-3-ethylcyclopropane # |
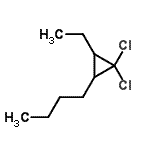
| 分子结构 | ![]() |
| 分子式 | C9H16Cl2 |
| 分子量 | 195.13 |
| CAS 登录号 | 24551-86-8 |
| 分子行输入简码 SMILES | ClC1(Cl)C(C1CCCC)CC |
| 国际化学标识码 InChI | 1S/C9H16Cl2/c1-3-5-6-8-7(4-2)9(8,10)11/h7-8H,3-6H2,1-2H3 |
| 国际化学标识检索码 InChIKey | FKUZLXFBRZGUQP-UHFFFAOYSA-N |
| 密度 | 1.063g/cm3 (计算值) |
|---|---|
| 沸点 | 225.097°C at 760 mmHg (计算值) |
| 闪点 | 74.461°C (计算值) |
| 折射率 | 1.471 (计算值) |
| 市场分析报告 |