| Achemica | 瑞士 | |||
|---|---|---|---|---|
![]() |
+41 (24) 466-2929 | |||
![]() |
contact@achemica.com | |||
| 化学品生产商(2010 年起) | ||||
| MP Biomedicals LLC. | 美国 | |||
|---|---|---|---|---|
![]() |
+1 (440) 337-1200 | |||
![]() |
info@mpbio.com | |||
| 化学品生产商 | ||||
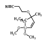
| 产品名称 | 3-{[(3Z)-2-甲基-4-(三甲氧基硅烷基)-3-丁烯-2-基]氧基}丙腈 |
|---|---|
| 英文名 | 3-{[(3Z)-2-Methyl-4-(Trimethoxysilyl)-3-Buten-2-Yl]Oxy}Propanenitrile |
| 分子结构 | ![]() |
| 分子式 | C11H21NO4Si |
| 分子量 | 259.37 |
| CAS 登录号 | 24820-56-2 |
| 分子行输入简码 SMILES | CO[Si](\C=C/C(C)(C)OCCC#N)(OC)OC |
| 国际化学标识码 InChI | 1S/C11H21NO4Si/c1-11(2,16-9-6-8-12)7-10-17(13-3,14-4)15-5/h7,10H,6,9H2,1-5H3/b10-7- |
| 国际化学标识检索码 InChIKey | UYIOITAGWJIBKY-YFHOEESVSA-N |
| 密度 | 1.004g/cm3 (计算值) |
|---|---|
| 沸点 | 315.676°C at 760 mmHg (计算值) |
| 闪点 | 144.716°C (计算值) |
| 折射率 | 1.444 (计算值) |
| 市场分析报告 |