全球化学品在线数据库

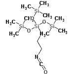
3-(3-异氰酸丙基)-1,1,1,5,5,5-六甲基-3-[(三甲基硅烷基)氧基]三硅氧烷
[CAS 25357-82-8]

供应商
Achemica 瑞士
+41 (24) 466-2929
contact@achemica.com
化学品生产商(2010 年起)
Silar Laboratories 美国
+1 (910) 762-5800
info@silar.com
化学品生产商
基本信息
产品名称 3-(3-异氰酸丙基)-1,1,1,5,5,5-六甲基-3-[(三甲基硅烷基)氧基]三硅氧烷
英文名 3-(3-Isocyanatopropyl)-1,1,1,5,5,5-Hexamethyl-3-[(Trimethylsilyl)Oxy]Trisiloxane
分子结构 CAS 登录号:25357-82-8, 3-(3-异氰酸丙基)-1,1,1,5,5,5-六甲基-3-[(三甲基硅烷基)氧基]三硅氧烷
分子式 C13H33NO4Si4
分子量 379.75
CAS 登录号 25357-82-8
分子行输入简码 SMILES O=C=N\CCC[Si](O[Si](C)(C)C)(O[Si](C)(C)C)O[Si](C)(C)C
国际化学标识码 InChI 1S/C13H33NO4Si4/c1-19(2,3)16-22(17-20(4,5)6,18-21(7,8)9)12-10-11-14-13-15/h10-12H2,1-9H3
国际化学标识检索码 InChIKey QRWZBOQSMUYOCM-UHFFFAOYSA-N
物理化学性质
密度 0.921g/cm3 (计算值)
沸点 320.664°C at 760 mmHg (计算值)
闪点 147.733°C (计算值)
折射率 1.424 (计算值)
市场分析报告
相关产品
2-(4-异氰酸苯氧基)-6-...  2-(3-异氰酸苯氧基)吡啶  4'-异氰酸苯乙酮  异氰酸苯酯; 苯基异氰酸酯  5-(4-异氰酸苄基)-2-甲...  4-(3-异氰酸苄基)吗啉  异氰酸苄酯  4-异氰酸吡啶1-氧化物  5-异氰酸吡啶-2-甲腈  3-异氰酸丙基(甲基)二乙氧基...  (3-异氰酸丙基)苯  1-(3-异氰酸丙基)吡咯烷  (3-异氰酸丙基)甲基二甲氧基...  (3-异氰酸丙基)甲氧基二甲基...  1-(3-异氰酸丙基)哌啶  异氰酸丙基三乙氧基硅烷; (3...  (S)-(-)-2-异氰酸丙酸...  3-异氰酸丙酸乙酯  2-异氰酸丙-2-烯酸甲酯  异氰酸丙烯酯