|
CAS#: 26598-29-8 产品: 血红素 C 暂时没有厂家供应该产品。 |
| 产品名称 | 血红素 C |
|---|---|
| 英文名 | Heme C |
| 别名 | Heme C |
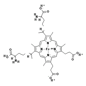
| 分子结构 | ![]() |
| 分子式 | C42H50FeN6O8S2 |
| 分子量 | 886.86 |
| CAS 登录号 | 26598-29-8 |
| 分子行输入简码 SMILES | [H+].[H+].[H+].[H+].C(C4=C(C3=CC8=N|2C(=CC1=C(C(=C6[N-]1|[Fe++]|5|2|[N-]3C4=CC7=N|5C(=C6)C(=C7CCC([O-])=O)C)C)C(SCCC(N)C([O-])=O)C)C(=C8C(SCCC(N)C([O-])=O)C)C)C)CC([O-])=O |
| 国际化学标识码 InChI | 1S/C42H52N6O8S2.Fe/c1-19-25(7-9-37(49)50)33-18-34-26(8-10-38(51)52)20(2)30(46-34)16-35-40(24(6)58-14-12-28(44)42(55)56)22(4)32(48-35)17-36-39(21(3)31(47-36)15-29(19)45-33)23(5)57-13-11-27(43)41(53)54;/h15-18,23-24,27-28H,7-14,43-44H2,1-6H3,(H6,45,46,47,48,49,50,51,52,53,54,55,56);/q;+2/p-2 |
| 国际化学标识检索码 InChIKey | UMEBWDVAJMPSLP-UHFFFAOYSA-L |
| 市场分析报告 |