| 恒桥产业股份(台北 / 东莞 / 南京)有限公司 | 中国 | |||
|---|---|---|---|---|
![]() | www.chembridge.com.tw | |||
![]() | +886 (2) 2649-6320 +86 (769) 2250-4087 +86 (25) 8471-2192 | |||
![]() | +886 (2) 2704-3915 / +86 (769) 2246-8225 / +86 (25) 8471-2052 | |||
![]() | cnservice@chembridge.net | |||
| 化学品生产商 | ||||
| chemBlink 标准供应商 (2011年起) | ||||
| AccuStandard Inc. | 美国 | |||
|---|---|---|---|---|
![]() | www.accustandard.com | |||
![]() | +1 (203) 786-5290 | |||
![]() | +1 (203) 786-5287 | |||
![]() | orders@accustandard.com | |||
| 化学品生产商 (1986年起) | ||||
| Interchim Inc. | 美国 | |||
|---|---|---|---|---|
![]() | www.interchiminc.com | |||
![]() | +1 (800) 560-8262 | |||
![]() | info@interchiminc.com | |||
| 化学品生产商 | ||||
| 上海同金化工有限公司 | 中国 | |||
|---|---|---|---|---|
![]() | www.uvchemkeys.com | |||
![]() | +86 (21) 5878-5130 | |||
![]() | +86 (21) 5878-6585 | |||
![]() | sales@uvchemkeys.com | |||
| 化学品生产商 | ||||
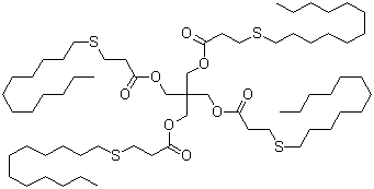
| 产品名称 | 抗氧化剂 TH-412S |
|---|---|
| 英文名 | 2,2-Bis[[3-(dodecylthio)-1-oxopropoxy]methyl]propane-1,3-diyl bis[3-(dodecylthio)propionate] |
| 分子结构 | ![]() |
| 分子式 | C65H124O8S4 |
| 分子量 | 1161.95 |
| CAS 登录号 | 29598-76-3 |
| EC 号码 | 249-720-9 |
| 危害分类 | |||||||||
|---|---|---|---|---|---|---|---|---|---|
| |||||||||
| SDS | 化学品安全技术说明书参考文本 | ||||||||
| 市场分析报告 |