| 兰溪市苏格生物技术有限公司 | 中国 | |||
|---|---|---|---|---|
![]() | www.bio-sugars.com | |||
![]() | +86 (579) 8901-8388 +86 15167971485 | |||
![]() | +86 (579) 8855-6787 | |||
![]() | syngars@hotmail.com | |||
![]() | QQ Chat | |||
| 化学品生产商 (2008年起) | ||||
| chemBlink 标准供应商 (2006年起) | ||||
| 启瑞生物医药有限公司 | 中国 | |||
|---|---|---|---|---|
![]() | www.chiralblock.com | |||
![]() | +86 18143482572 | |||
![]() | +86 (571) 8848-7672 | |||
![]() | info@chiralblock.com | |||
| 化学品生产商 | ||||
| chemBlink 标准供应商 (2012年起) | ||||
| Hangzhou Leap Chem Co., Ltd. | 中国 | |||
|---|---|---|---|---|
![]() | www.leapchem.com | |||
![]() | +86 (571) 8771-1850 | |||
![]() | market19@leapchem.com | |||
![]() | QQ Chat | |||
| 化学品生产商 (2006年起) | ||||
| chemBlink 标准供应商 (2015年起) | ||||
| 浙江省医药保健品进出口有限责任公司 | 中国 | |||
|---|---|---|---|---|
![]() | www.zmcchina.com | |||
![]() | +86 (0571) 281-9008 | |||
![]() | anna@zmcchina.com | |||
| 化学品供销商 (1984年起) | ||||
| chemBlink 标准供应商 (2023年起) | ||||
| MP Biomedicals LLC. | 美国 | |||
|---|---|---|---|---|
![]() | www.mpbio.com | |||
![]() | +1 (440) 337-1200 | |||
![]() | +1 (440) 337-1180 | |||
![]() | inside@mpbio.com | |||
| 化学品生产商 | ||||
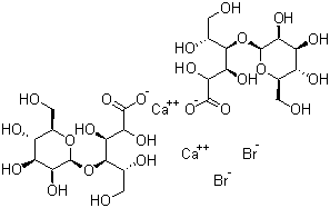
| 产品名称 | 溴化乳糖醛酸钙 |
|---|---|
| 英文名 | Calcium bromolactobionate |
| 分子结构 | ![]() |
| 分子式 | 2(C12H21O12).Ca.CaBr2 |
| 分子量 | 954.54 |
| CAS 登录号 | 33659-28-8 |
| EC 号码 | 251-616-3 |
| 危害分类 | |||||||||||||
|---|---|---|---|---|---|---|---|---|---|---|---|---|---|
| |||||||||||||
| 市场分析报告 |