| BOC Sciences | 美国 | |||
|---|---|---|---|---|
![]() | www.bocsci.com | |||
![]() | +1 (631) 485-4226 | |||
![]() | +1 (631) 614-7828 | |||
![]() | info@bocsci.com | |||
| 化学品生产商 | ||||
| chemBlink 标准供应商 (2010年起) | ||||
| 宁波金艾农生物科技有限公司 | 中国 | |||
|---|---|---|---|---|
![]() | www.gianon.com | |||
![]() | +86 (574) 8681-8337 | |||
![]() | +86 (574) 8681-8226 | |||
![]() | chenlidan1@126.com | |||
![]() | QQ Chat | |||
| 化学品生产商 (2010年起) | ||||
| chemBlink 标准供应商 (2014年起) | ||||
| Hangzhou Leap Chem Co., Ltd. | 中国 | |||
|---|---|---|---|---|
![]() | www.leapchem.com | |||
![]() | +86 (571) 8771-1850 | |||
![]() | market19@leapchem.com | |||
![]() | QQ Chat | |||
| 化学品生产商 (2006年起) | ||||
| chemBlink 标准供应商 (2015年起) | ||||
| 成都普瑞法科技开发有限公司 | 中国 | |||
|---|---|---|---|---|
![]() | www.phytopurify.com | |||
![]() | +86 (28) 8263-3860 8263-3987 | |||
![]() | +86 (28) 8263-3165 | |||
![]() | sales@biopurify.com biopurify@gmail.com | |||
![]() | QQ Chat | |||
![]() | Skype Chat | |||
| 化学品生产商 | ||||
| chemBlink 标准供应商 (2017年起) | ||||
| 常州新星联生物科技有限公司 | 中国 | |||
|---|---|---|---|---|
![]() | www.neostarunited.com | |||
![]() | +86 (519) 8555-7386 +86 18015025600 | |||
![]() | +86 (519) 8555-7389 | |||
![]() | marketing1@neostarunited.com | |||
| 化学品供销商 (2014年起) | ||||
| chemBlink 标准供应商 (2020年起) | ||||
| 产品名称 | 刺五加叶中 |
|---|---|
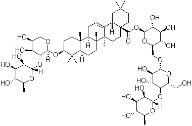
| 英文名 | Hederasaponin B |
| 别名 | Eleutheroside M; Glycoside L-G2; Hederacolchiside C; Hederacoside B; Hederagenin B; Saponin Pl3; Tauroside G2; Tauroside St-G2; (3beta)-3-[[2-O-(6-Deoxy-alpha-L-mannopyranosyl)-alpha-L-arabinopyranosyl]oxy]-Olean-12-en-28-oic acid O-6-deoxy-beta-L-mannopyranosyl-(1-4)-O-beta-D-glucopyranosyl-(1-6)-beta-D-glucopyranosyl ester |
| 分子结构 | ![]() |
| 分子式 | C59H96O25 |
| 分子量 | 1205.38 |
| CAS 登录号 | 36284-77-2 |
| 密度 | 1.46 |
|---|---|
| 熔点 | 223-226 °C |
| 市场分析报告 |