全球化学品在线数据库

镓N-[3-[5,17-二[3-(乙酰基-氧代氨基)丙基]-3,6,9,12,15,18-六氧代-1,4,7,10,13,16-六氮杂十八碳-2-基]丙基]-N-氧代乙酰胺
[CAS 39000-29-8]

供应商
CAS#: 39000-29-8
产品: 镓N-[3-[5,17-二[3-(乙酰基-氧代氨基)丙基]-3,6,9,12,15,18-六氧代-1,4,7,10,13,16-六氮杂十八碳-2-基]丙基]-N-氧代乙酰胺
暂时没有厂家供应该产品。
基本信息
产品名称 镓N-[3-[5,17-二[3-(乙酰基-氧代氨基)丙基]-3,6,9,12,15,18-六氧代-1,4,7,10,13,16-六氮杂十八碳-2-基]丙基]-N-氧代乙酰胺
英文名 Gallium N-[3-[5,17-Bis[3-(Acetyl-Oxidoamino)Propyl]-3,6,9,12,15,18-Hexaoxo-1,4,7,10,13,16-Hexazacyclooctadec-2-Yl]Propyl]-N-Oxidoacetamide
别名 Gallium N-[3-[5,17-Bis[3-(Acetyl-Oxido-Amino)Propyl]-3,6,9,12,15,18-Hexaoxo-1,4,7,10,13,16-Hexazacyclooctadec-2-Yl]Propyl]-N-Oxido-Acetamide; Gallium N-[3-[5,17-Bis[3-(Acetyl-Oxido-Amino)Propyl]-3,6,9,12,15,18-Hexaketo-1,4,7,10,13,16-Hexazacyclooctadec-2-Yl]Propyl]-N-Oxido-Acetamide; Gallium N-[3-[5,17-Bis[3-(Ethanoyl-Oxido-Amino)Propyl]-3,6,9,12,15,18-Hexaoxo-1,4,7,10,13,16-Hexazacyclooctadec-2-Yl]Propyl]-N-Oxido-Ethanamide
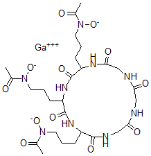
分子结构 CAS 登录号:39000-29-8, 镓N-[3-[5,17-二[3-(乙酰基-氧代氨基)丙基]-3,6,9,12,15,18-六氧代-1,4,7,10,13,16-六氮杂十八碳-2-基]丙基]-N-氧代乙酰胺
分子式 C27H42GaN9O12
分子量 754.40
CAS 登录号 39000-29-8
分子行输入简码 SMILES [Ga+3].C(C1NC(=O)C(NC(=O)CNC(=O)CNC(=O)CNC(=O)C(NC1=O)CCCN([O-])C(=O)C)CCCN([O-])C(=O)C)CCN([O-])C(=O)C
国际化学标识码 InChI 1S/C27H42N9O12.Ga/c1-16(37)34(46)10-4-7-19-25(43)30-14-23(41)28-13-22(40)29-15-24(42)31-20(8-5-11-35(47)17(2)38)26(44)33-21(27(45)32-19)9-6-12-36(48)18(3)39;/h19-21H,4-15H2,1-3H3,(H,28,41)(H,29,40)(H,30,43)(H,31,42)(H,32,45)(H,33,44);/q-3;+3
国际化学标识检索码 InChIKey PTVOLFPTQKGIHC-UHFFFAOYSA-N
市场分析报告
相关产品
加米霉素  甲脒氢碘酸盐  甲脒氢溴酸盐  甲脒盐酸盐  甲脒乙酸盐  加莫司汀; 6-(双(2-氯乙...  假木贼胺  假木贼碱  L-(-)-假木贼碱; (-)...  间-(三氟甲基)-肉桂酸  己胺-15N  钾钠(3E)-4-氧代-3-[...  钾钠1-氨基-4-[(2-羧基...  钾钠1-氨基-4-{[3-({...  钾钠2,2'-[(E)-1,2...  钾钠2,2'-亚甲基二(3,4...  钾钠2-[(8-{[4-氯-6...  钾钠4-({1-[(2-甲氧基...  钾钠7,7'-(羰基二亚胺)二...  钾钠7-羟基-8-[[4-(苯...