基本信息
| 产品名称 |
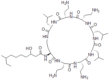
3-羟基-8-甲基-N-[(3S,6S,9S,12S,15S,18S,21S,24S)-6,9,18,21-四(2-氨基乙基)-3,12,15-三(2-甲基丙基)-2,5,8,11,14,17,20,23-八氧代-1,4,7,10,13,16,19,22-八氮杂环二十六碳-24-基]癸烷酰胺 |
| 英文名 |
3-Hydroxy-8-Methyl-N-[(3S,6S,9S,12S,15S,18S,21S,24S)-6,9,18,21-Tetrakis(2-Aminoethyl)-3,12,15-Tris(2-Methylpropyl)-2,5,8,11,14,17,20,23-Octaoxo-1,4,7,10,13,16,19,22-Octazacyclohexacos-24-Yl]Decanamide |
| 别名 |
3-Hydroxy-8-Methyl-N-[(3S,6S,9S,12S,15S,18S,21S,24S)-6,9,18,21-Tetrakis(2-Aminoethyl)-3,12,15-Triisobutyl-2,5,8,11,14,17,20,23-Octaoxo-1,4,7,10,13,16,19,22-Octazacyclohexacos-24-Yl]Decanamide; 3-Hydroxy-8-Methyl-N-[(3S,6S,9S,12S,15S,18S,21S,24S)-6,9,18,21-Tetrakis(2-Aminoethyl)-3,12,15-Triisobutyl-2,5,8,11,14,17,20,23-Octaketo-1,4,7,10,13,16,19,22-Octazacyclohexacos-24-Yl]Capramide; Antibiotic Em49 |
|
| 分子结构 |
![CAS 登录号:39342-08-0, 3-羟基-8-甲基-N-[(3S,6S,9S,12S,15S,18S,21S,24S)-6,9,18,21-四(2-氨基乙基)-3,12,15-三(2-甲基丙基)-2,5,8,11,14,17,20,23-八氧代-1,4,7,10,13,16,19,22-八氮杂环二十六碳-24-基]癸烷酰胺](/moreStructures/39342-08-0.gif) |
| 分子式 |
C49H93N13O10 |
| 分子量 |
1024.35 |
| CAS 登录号 |
39342-08-0 |
| 分子行输入简码 SMILES |
[C@H]1(NC(=O)[C@@H](NC(=O)[C@@H](NC(=O)[C@@H](NC(=O)CC(O)CCCCC(CC)C)CCNC(=O)[C@@H](NC(=O)[C@@H](NC(=O)[C@@H](NC(=O)[C@@H](NC1=O)CC(C)C)CCN)CCN)CC(C)C)CCN)CCN)CC(C)C |
| 国际化学标识码 InChI |
1S/C49H93N13O10/c1-9-31(8)12-10-11-13-32(63)27-41(64)55-37-18-23-54-42(65)38(24-28(2)3)60-45(68)35(16-21-52)56-44(67)34(15-20-51)59-48(71)39(25-29(4)5)62-49(72)40(26-30(6)7)61-46(69)36(17-22-53)57-43(66)33(14-19-50)58-47(37)70/h28-40,63H,9-27,50-53H2,1-8H3,(H,54,65)(H,55,64)(H,56,67)(H,57,66)(H,58,70)(H,59,71)(H,60,68)(H,61,69)(H,62,72)/t31?,32?,33-,34-,35-,36-,37-,38-,39-,40-/m0/s1 |
| 国际化学标识检索码 InChIKey |
XXJAQSYTQPWWKU-QVRBQHTBSA-N |
|