全球化学品在线数据库

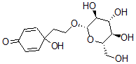
4-[2-(beta-D-吡喃葡萄糖基氧基)乙基]-4-羟基-2,5-环己二烯-1-酮
[CAS 40661-45-8]

供应商
BOC Sciences 美国
+1 (631) 485-4226
info@bocsci.com
Skype 聊天
化学品供销商
chemBlink 集群供应商(2012 年起)
基本信息
产品名称 4-[2-(beta-D-吡喃葡萄糖基氧基)乙基]-4-羟基-2,5-环己二烯-1-酮
英文名 4-[2-(beta-D-Glucopyranosyloxy)Ethyl]-4-Hydroxy-2,5-Cyclohexadien-1-One
别名 4-Hydroxy-4-[2-[(2S,3S,4R,5R,6S)-3,4,5-Trihydroxy-6-(Hydroxymethyl)Tetrahydropyran-2-Yl]Oxyethyl]Cyclohexa-2,5-Dien-1-One; 4-Hydroxy-4-[2-[[(2S,3S,4R,5R,6S)-3,4,5-Trihydroxy-6-(Hydroxymethyl)-2-Tetrahydropyranyl]Oxy]Ethyl]-1-Cyclohexa-2,5-Dienone; 4-Hydroxy-4-[2-[(2S,3S,4R,5R,6S)-3,4,5-Trihydroxy-6-Methylol-Tetrahydropyran-2-Yl]Oxyethyl]Cyclohexa-2,5-Dien-1-One
分子结构 CAS 登录号:40661-45-8, 4-[2-(beta-D-吡喃葡萄糖基氧基)乙基]-4-羟基-2,5-环己二烯-1-酮
分子式 C14H20O8
分子量 316.31
CAS 登录号 40661-45-8
分子行输入简码 SMILES [C@@H]1([C@@H]([C@H]([C@H](CO)O[C@@H]1OCCC2(C=CC(C=C2)=O)O)O)O)O
国际化学标识码 InChI 1S/C14H20O8/c15-7-9-10(17)11(18)12(19)13(22-9)21-6-5-14(20)3-1-8(16)2-4-14/h1-4,9-13,15,17-20H,5-7H2/t9-,10-,11+,12-,13-/m0/s1
国际化学标识检索码 InChIKey VTVARPTUBCBNJX-WJTVCTBASA-N
物理化学性质
密度 1.515g/cm3 (计算值)
沸点 601.986°C at 760 mmHg (计算值)
闪点 226.325°C (计算值)
市场分析报告
相关产品
3-[4-(beta-D-吡喃...  (S)-6-[4-(beta-...  (S)-5-((beta-D-...  5-((吡喃葡萄糖基氧基)甲基...  (5S)-5-[(beta-D...  (4S)-3-[(beta-D...  (3bS,7R)-7-[(be...  (3beta,5alpha,1...  (3aR,4R,6aR,8S,...  (2E)-N-[2-(beta...  D-吡喃葡萄糖醛酸  beta-D-吡喃葡萄糖醛酸 ...  beta-D-吡喃葡萄糖醛酸 ...  beta-D-吡喃葡萄糖醛酸 ...  alpha-D-吡喃葡萄糖醛酸...  alpha-D-吡喃葡萄糖醛酸...  alpha-D-吡喃葡萄糖醛酸...  [2S-[1[R*(R*)],...  beta-D-吡喃葡萄糖醛酸 ...  beta-D-吡喃葡萄糖醛酸 ...