全球化学品在线数据库

齐墩果-12-烯-3b,6b-二醇
[CAS 41498-79-7]

供应商
CAS#: 41498-79-7
产品: 齐墩果-12-烯-3b,6b-二醇
暂时没有厂家供应该产品。
基本信息
产品名称 齐墩果-12-烯-3b,6b-二醇
英文名 Olean-12-Ene-3b,6b-Diol
别名 Daturadiol; Olean-12-Ene-3,6-Diol, (3Beta,6Beta)-
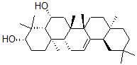
分子结构 CAS 登录号:41498-79-7, 齐墩果-12-烯-3b,6b-二醇
分子式 C30H50O2
分子量 442.72
CAS 登录号 41498-79-7
分子行输入简码 SMILES [C@@]13([C@]5(C(=CC[C@@H]1[C@]2(CC[C@@H](C([C@@H]2[C@@H](C3)O)(C)C)O)C)[C@@H]4CC(C)(C)CC[C@@]4(CC5)C)C)C
国际化学标识码 InChI 1S/C30H50O2/c1-25(2)13-14-27(5)15-16-29(7)19(20(27)17-25)9-10-22-28(6)12-11-23(32)26(3,4)24(28)21(31)18-30(22,29)8/h9,20-24,31-32H,10-18H2,1-8H3/t20-,21+,22+,23-,24-,27+,28+,29+,30+/m0/s1
国际化学标识检索码 InChIKey JYNBNJRQZZSLPN-NYVWVNPOSA-N
物理化学性质
密度 1.1±0.1g/cm3 (计算值)
沸点 520.7±50.0°C at 760 mmHg (计算值)
闪点 210.0±24.7°C (计算值)
市场分析报告
相关产品
齐德巴坦中间体3  齐墩果-12-烯[2,3-c]...  齐墩果-12-烯-3,11-二...  齐墩果-12-烯-3,11-二...  (3beta,4alpha,1...  (3beta,4alpha,1...  (3beta,4alpha,1...  (3b,16b)-齐墩果-12...  齐墩果-12-烯-3,24-二...  (3b)-齐墩果-12-烯-3...  齐墩果-2,12-二烯[2,3...  齐墩果-2,12-二烯[2,3...  齐墩果-9(11),12-二烯...  齐墩果醛  齐墩果酸; 土当归酸  齐墩果酸  齐墩果酸 3-O-alpha-...  齐墩果酸 3-O-beta-吡...  齐墩果酸 3-O-beta-D...  齐墩果酸 3-乙酸酯