|
CAS#: 41970-69-8 产品: 3-[(2-甲基-2-丙烯基)氧基亚氨基甲基]利福霉素 SV 暂时没有厂家供应该产品。 |
| 产品名称 | 3-[(2-甲基-2-丙烯基)氧基亚氨基甲基]利福霉素 SV |
|---|---|
| 英文名 | 3-[(2-Methyl-2-Propenyl)Oxyiminomethyl]Rifamycin SV |
| 别名 | 3-Formylrifamycin Sv O-(2-Methylprop-2-Enyl)Oxime; Brn 5418389 |
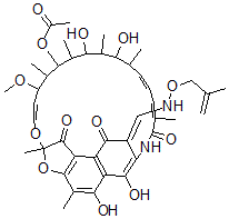
| 分子结构 | ![]() |
| 分子式 | C42H54N2O13 |
| 分子量 | 794.89 |
| CAS 登录号 | 41970-69-8 |
| 分子行输入简码 SMILES | C(ON/C=C2/C(=O)C1=C3C(=C(C4=C1C(=O)C(O/C=C/C(OC)C(C(OC(=O)C)C(C(O)C(C(O)C(C)\C=C\C=C(C(=O)NC2=C3O)\C)C)C)C)(O4)C)C)O)C(C)=C |
| 国际化学标识码 InChI | 1S/C42H54N2O13/c1-19(2)18-55-43-17-27-32-37(50)30-29(36(27)49)31-39(25(8)35(30)48)57-42(10,40(31)51)54-16-15-28(53-11)22(5)38(56-26(9)45)24(7)34(47)23(6)33(46)20(3)13-12-14-21(4)41(52)44-32/h12-17,20,22-24,28,33-34,38,43,46-48,50H,1,18H2,2-11H3,(H,44,52)/b13-12+,16-15+,21-14-,27-17+ |
| 国际化学标识检索码 InChIKey | YIEMBPILNJKWQA-VLVPNOHSSA-N |
| 市场分析报告 |