全球化学品在线数据库

脱氧腺苷酰-(3'-5')-脱氧鸟苷
[CAS 4336-87-2]

供应商
CAS#: 4336-87-2
产品: 脱氧腺苷酰-(3'-5')-脱氧鸟苷
暂时没有厂家供应该产品。
基本信息
产品名称 脱氧腺苷酰-(3'-5')-脱氧鸟苷
英文名 Deoxyadenylyl-(3'-5')-Deoxyguanosine
别名 [(2R,3S,5R)-5-(2-Amino-6-Oxo-3H-Purin-9-Yl)-3-Hydroxy-Tetrahydrofuran-2-Yl]Methyl [(2R,3S,5R)-5-(6-Aminopurin-9-Yl)-2-(Hydroxymethyl)Tetrahydrofuran-3-Yl] Hydrogen Phosphate; [(2R,3S,5R)-5-(2-Amino-6-Oxo-3H-Purin-9-Yl)-3-Hydroxy-2-Tetrahydrofuranyl]Methyl [(2R,3S,5R)-5-(6-Amino-9-Purinyl)-2-(Hydroxymethyl)-3-Tetrahydrofuranyl] Hydrogen Phosphate; [(2R,3S,5R)-5-(2-Amino-6-Keto-3H-Purin-9-Yl)-3-Hydroxy-Tetrahydrofuran-2-Yl]Methyl [(2R,3S,5R)-5-(6-Aminopurin-9-Yl)-2-Methylol-Tetrahydrofuran-3-Yl] Hydrogen Phosphate
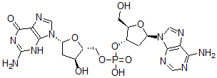
分子结构 CAS 登录号:4336-87-2, 脱氧腺苷酰-(3'-5')-脱氧鸟苷
分子式 C20H25N10O9P
分子量 580.45
CAS 登录号 4336-87-2
分子行输入简码 SMILES [C@@H]1(C[C@@H](O[C@@H]1CO[P](O[C@@H]4[C@H](O[C@@H]([N]3C2=C(C(=NC=N2)N)N=C3)C4)CO)(=O)O)[N]6C5=C(C(N=C(N5)N)=O)N=C6)O
国际化学标识码 InChI 1S/C20H25N10O9P/c21-16-14-17(24-5-23-16)29(6-25-14)13-2-9(10(3-31)37-13)39-40(34,35)36-4-11-8(32)1-12(38-11)30-7-26-15-18(30)27-20(22)28-19(15)33/h5-13,31-32H,1-4H2,(H,34,35)(H2,21,23,24)(H3,22,27,28,33)/t8-,9-,10+,11+,12+,13+/m0/s1
国际化学标识检索码 InChIKey HCGVHZGSMKEALA-LSUSWQKBSA-N
物理化学性质
密度 2.241g/cm3 (计算值)
沸点 1051.547°C at 760 mmHg (计算值)
闪点 589.754°C (计算值)
市场分析报告
相关产品
2'-脱氧腺苷-5'-二磷酸二...  2'-脱氧腺苷-5'-二磷酸酯  脱氧腺苷-5'-三-3'-二磷...  3'-脱氧腺苷5'-三磷酸酯  2'-脱氧腺苷-5'-三磷酸酯...  2'-脱氧-腺苷环 3',5'...  脱氧腺苷磷酸二钠; 2'-脱氧...  (S)-2'-脱氧腺苷硫代三磷...  (2'-5')-3'-脱氧腺苷...  脱氧腺苷酰-(3'-5')-脱...  2'-脱氧腺苷酰-(3'-5'...  2'-脱氧腺苷酰-(3'-5'...  2'-脱氧腺苷酰-(3'-5'...  2'-脱氧腺苷酰(3'-5')...  2'-脱氧腺苷酰-(5'-3'...  2'-脱氧腺苷酰-(5'-3'...  脱氧腺苷酰-胸苷酰-脱氧鸟苷酰...  2'-脱氧腺苷一水合物  2'-脱氧腺苷一水合物-13C...  1-脱氧-1-硝基-D-艾杜糖...