| Biosynth AG. | 瑞士 | |||
|---|---|---|---|---|
![]() | www.biosynth.com | |||
![]() | +41 (71) 858-2020 | |||
![]() | +41 (71) 858-2030 | |||
![]() | welcome@biosynth.ch | |||
| 化学品生产商 | ||||
| chemBlink 标准供应商 (2014年起) | ||||
| 成都普瑞法科技开发有限公司 | 中国 | |||
|---|---|---|---|---|
![]() | www.phytopurify.com | |||
![]() | +86 (28) 8263-3860 8263-3987 | |||
![]() | +86 (28) 8263-3165 | |||
![]() | sales@biopurify.com biopurify@gmail.com | |||
![]() | QQ Chat | |||
![]() | Skype Chat | |||
| 化学品生产商 | ||||
| chemBlink 标准供应商 (2017年起) | ||||
| Indofine Chemical Company, Inc. | 美国 | |||
|---|---|---|---|---|
![]() | www.indofinechemical.com | |||
![]() | +1 (888) 463-6346 | |||
![]() | +1 (908) 359-1179 | |||
![]() | info@indofinechemical.com | |||
| 化学品生产商 (1981年起) | ||||
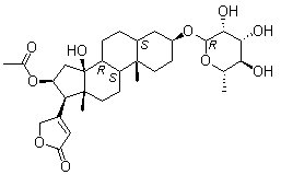
| 产品名称 | 万年青苷 B |
|---|---|
| 英文名 | Rhodexin B |
| 分子结构 | ![]() |
| 分子式 | C31H46O10 |
| 分子量 | 578.70 |
| CAS 登录号 | 50906-58-6 |
| 溶解度 | 几乎不溶 (0.075 g/L) (25 °C), 计算值* |
|---|---|
| 密度 | 1.34±0.1 g/cm3 (20 °C 760 Torr), 计算值* |
| 熔点 | 262 °C** |
| * | 使用计算机软件 Advanced Chemistry Development (ACD/Labs) Software V11.02 (©1994-2013 ACD/Labs) |
| ** | Kang, Qian-Jin |
| 市场分析报告 |