全球化学品在线数据库

4'-脱氧卷须霉素 A1 2'-丙酸酯
[CAS 51481-64-2]

供应商
CAS#: 51481-64-2
产品: 4'-脱氧卷须霉素 A1 2'-丙酸酯
暂时没有厂家供应该产品。
基本信息
产品名称 4'-脱氧卷须霉素 A1 2'-丙酸酯
英文名 4'-Deoxycirramycin A1 2'-Propionate
别名 [(2R,3S,4R,6S)-4-Dimethylamino-2-[[(1R,2R,3S,7R,8S,9S,10R,12R,14E,16S)-3-Ethyl-7-Hydroxy-2,8,12,16-Tetramethyl-5,13-Dioxo-10-(2-Oxoethyl)-4,17-Dioxabicyclo[14.1.0]Heptadec-14-En-9-Yl]Oxy]-6-Methyl-Tetrahydropyran-3-Yl] Propanoate; Propanoic Acid [(2R,3S,4R,6S)-4-Dimethylamino-2-[[(1R,2R,3S,7R,8S,9S,10R,12R,14E,16S)-3-Ethyl-7-Hydroxy-2,8,12,16-Tetramethyl-5,13-Dioxo-10-(2-Oxoethyl)-4,17-Dioxabicyclo[14.1.0]Heptadec-14-En-9-Yl]Oxy]-6-Methyl-3-Tetrahydropyranyl] Ester; Propionic Acid [(2R,3S,4R,6S)-4-Dimethylamino-2-[[(1R,2R,3S,7R,8S,9S,10R,12R,14E,16S)-3-Ethyl-7-Hydroxy-5,13-Diketo-10-(2-Ketoethyl)-2,8,12,16-Tetramethyl-4,17-Dioxabicyclo[14.1.0]Heptadec-14-En-9-Yl]Oxy]-6-Methyl-Tetrahydropyran-3-Yl] Ester
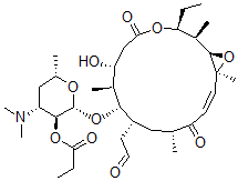
分子结构 CAS 登录号:51481-64-2, 4'-脱氧卷须霉素 A1 2'-丙酸酯
分子式 C34H55NO10
分子量 637.81
CAS 登录号 51481-64-2
分子行输入简码 SMILES [C@H]23[C@@](\C=C\C([C@@H](C[C@@H]([C@H](O[C@@H]1[C@H]([C@@H](C[C@@H](O1)C)N(C)C)OC(CC)=O)[C@H]([C@@H](CC(O[C@H]([C@H]2C)CC)=O)O)C)CC=O)C)=O)(C)O3
国际化学标识码 InChI 1S/C34H55NO10/c1-10-27-22(6)32-34(7,45-32)14-12-25(37)19(3)16-23(13-15-36)30(21(5)26(38)18-29(40)42-27)44-33-31(43-28(39)11-2)24(35(8)9)17-20(4)41-33/h12,14-15,19-24,26-27,30-33,38H,10-11,13,16-18H2,1-9H3/b14-12+/t19-,20+,21+,22-,23+,24-,26-,27+,30-,31+,32-,33-,34+/m1/s1
国际化学标识检索码 InChIKey JTJAMAJKINOBDT-QCOKHWQXSA-N
市场分析报告
相关产品
5'-脱氧-5'-肼基鸟苷  2-脱氧肌糖  6-脱氧己糖吡喃糖苷-(1->...  6-脱氧己糖吡喃糖苷-(1->...  6-脱氧己糖吡喃糖苷-(1->...  6-脱氧己糖吡喃糖苷-(1->...  3-O-(6-脱氧己糖吡喃糖苷...  2-O-(6-脱氧己糖吡喃糖苷...  3-脱氧己酮醣  脱氧基新隐丹参酮  20-脱氧巨大戟醇 3-当归酸...  3'-脱氧卡那霉素 C  9-脱氧克拉维酸  1-脱氧-L-艾杜野尻霉素盐酸...  2-脱氧来苏己糖  5-脱氧-L-阿拉伯糖  5-脱氧-L-阿拉伯糖苯基腙  2-脱氧-L-阿拉伯糖-己糖  5-脱氧-L-阿拉伯糖酸 ga...  1-脱氧-L-阿卓野尻霉素盐酸...