全球化学品在线数据库

纤维七糖
[CAS 52646-27-2]

供应商目录
卡博森斯化学科技 (苏州) 有限公司 中国
www.carbosynth.cn
+86 (512) 6260-5585
+86 (512) 6260-5576
sales@carbosynth.com
QQ Chat
化学品生产商 (2006年起)
chemBlink 标准供应商 (2016年起)

基本信息
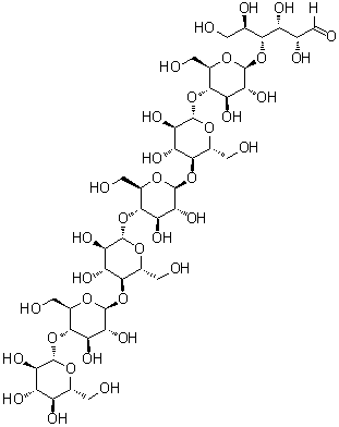
产品名称纤维七糖
英文名Celloheptaose
别名O-beta-D-Glucopyranosyl-(1→4)-O-beta-D-glucopyranosyl-(1→4)-O-beta-D-glucopyranosyl-(1→4)-O-beta-D-glucopyranosyl-(1→4)-O-beta-D-glucopyranosyl-(1→4)-O-beta-D-glucopyranosyl-(1→4)-D-glucose
分子结构纤维七糖分子结构 (CAS 52646-27-2)
分子式C42H72O36
分子量1153.00
CAS 登录号52646-27-2
物理化学性质
密度1.85±0.1 g/cm3 (20 °C 760 Torr), 计算值*
熔点283-286 °C**
*使用计算机软件 Advanced Chemistry Development (ACD/Labs) Software V11.02 (©1994-2016 ACD/Labs)
**Wolfrom, M. L.
安全数据
SDS化学品安全技术说明书参考文本
市场分析报告
相关产品
D-纤维二糖  纤维二糖  D-(+)-纤维二糖八乙酸酯  5'-O-(纤维二糖基)吡哆辛  纤维二糖醛酸  纤维二糖酸内酯  纤维二糖烯  纤维六糖  纤维六糖醇  D-(+)-纤维六糖二十乙酸酯  纤维三糖  纤维三糖醇  纤维四糖  D-(+)-纤维四糖十四碳乙酸...  纤维素苯氧基乙酸酯  纤维素丙酸酯  纤维素癸酸酯  纤维素邻苯二甲酸氢酯  纤维素磷酸钠  纤维素硫酸盐凝胶