| 常州迈诺进出口有限公司 | 中国 | |||
|---|---|---|---|---|
![]() | www.mascotchem.com | |||
![]() | +86 (519) 8501-0339 +86 13584504415 | |||
![]() | +86 (519) 8501-0366 | |||
![]() | info@mascotchem.com | |||
![]() | QQ Chat | |||
| 化学品供销商 (2006年起) | ||||
| chemBlink 标准供应商 (2006年起) | ||||
| 厦门志信化学有限公司 | 中国 | |||
|---|---|---|---|---|
![]() | www.simagchem.com | |||
![]() | +86 13806087780 | |||
![]() | +86 (592) 268-0237 | |||
![]() | sale@simagchem.com | |||
| 化学品生产商 (2002年起) | ||||
| chemBlink 标准供应商 (2008年起) | ||||
| Sigma-Aldrich, Inc. | 中国 | |||
|---|---|---|---|---|
![]() | www.sigmaaldrich.com | |||
![]() | +86 (21) 6141-5566 800-819-3336 | |||
![]() | orderCN@sial.com | |||
| 化学品生产商 (1992年起) | ||||
| chemBlink 标准供应商 (2013年起) | ||||
| Hangzhou Leap Chem Co., Ltd. | 中国 | |||
|---|---|---|---|---|
![]() | www.leapchem.com | |||
![]() | +86 (571) 8771-1850 | |||
![]() | market19@leapchem.com | |||
![]() | QQ Chat | |||
| 化学品生产商 (2006年起) | ||||
| chemBlink 标准供应商 (2015年起) | ||||
| Riverland Trading LLC. | 美国 | |||
|---|---|---|---|---|
![]() | www.riverlandtrading.com | |||
![]() | +1 (336).944-2293 | |||
![]() | bens@riverlandtrading.com | |||
| 化学品供销商 | ||||
| chemBlink 标准供应商 (2023年起) | ||||
| Scientific Polymer Products, Inc. | 美国 | |||
|---|---|---|---|---|
![]() | www.scientificpolymer.com | |||
![]() | +1 (585) 265-0413 | |||
![]() | +1 (585) 265-1390 | |||
![]() | custserv@scipoly.com | |||
| 化学品生产商 | ||||
| 产品分类 | 催化剂及助剂 >> 聚合物 |
|---|---|
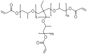
| 产品名称 | 丙氧基化三羟甲基丙烷三丙烯酸酯 |
| 英文名 | Trimethylolpropane propoxylate triacrylate |
| 分子结构 | ![]() |
| CAS 登录号 | 53879-54-2 |
| EC 号码 | 500-123-4 |
| 密度 | 1.054 |
|---|---|
| 折射率 | 1.461 |
| 危害分类 | |||||||||||||||||||||
|---|---|---|---|---|---|---|---|---|---|---|---|---|---|---|---|---|---|---|---|---|---|
| |||||||||||||||||||||
| SDS | 化学品安全技术说明书参考文本 | ||||||||||||||||||||
| 市场分析报告 |