全球化学品在线数据库

颜料黄 128
[CAS 57971-97-8]

供应商
CAS#: 57971-97-8
产品: 颜料黄 128
暂时没有厂家供应该产品。
基本信息
产品名称 颜料黄 128
英文名 Pigment Yellow 128
别名 Benzamide, 3,3'-((2-Chloro-5-Methyl-1,4-Phenylene)Bis(Imino(1-Acetyl-2-Oxo-2,1-Ethanediyl)Azo))Bis(4-Chloro-N-(2-(4-Chlorophenoxy)-5-(Trifluoromethyl)Phenyl)-
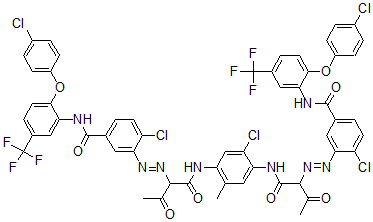
分子结构 CAS 登录号:57971-97-8, 颜料黄 128
分子式 C55H37Cl5F6N8O8
分子量 1229.20
CAS 登录号 57971-97-8
EINECS 登录号 279-356-6
分子行输入简码 SMILES C1=C(C(=CC(=C1NC(C(N=NC2=CC(=CC=C2Cl)C(=O)NC3=CC(=CC=C3OC4=CC=C(C=C4)Cl)C(F)(F)F)C(=O)C)=O)C)NC(C(N=NC5=CC(=CC=C5Cl)C(=O)NC6=CC(=CC=C6OC7=CC=C(C=C7)Cl)C(F)(F)F)C(=O)C)=O)Cl
国际化学标识码 InChI 1S/C55H37Cl5F6N8O8/c1-26-20-41(68-53(80)49(28(3)76)74-72-43-22-30(5-17-38(43)59)51(78)70-45-24-32(55(64,65)66)7-19-47(45)82-36-14-10-34(57)11-15-36)39(60)25-40(26)67-52(79)48(27(2)75)73-71-42-21-29(4-16-37(42)58)50(77)69-44-23-31(54(61,62)63)6-18-46(44)81-35-12-8-33(56)9-13-35/h4-25,48-49H,1-3H3,(H,67,79)(H,68,80)(H,69,77)(H,70,78)
国际化学标识检索码 InChIKey VOCMTGRPDQPZFA-UHFFFAOYSA-N
物理化学性质
密度 1.49g/cm3 (计算值)
沸点 986.7°C at 760 mmHg (计算值)
闪点 550.5°C (计算值)
市场分析报告
相关产品
C.I.颜料红4  颜料黄 1; 耐晒黄 G  颜料黄 100; 柠檬黄铝色淀  颜料黄 104; 食品黄 3:...  颜料黄 110; 颜料黄 13...  颜料黄 111  颜料黄 119  颜料黄 12; 双偶氮黄 G;...  颜料黄 126; 2,2'-(...  颜料黄 127; 2,2'-(...  颜料黄 128  颜料黄 13; 永固黄 GR;...  颜料黄 138; 3,4,5,...  颜料黄 139; 红光黄  颜料黄 139  颜料黄 14; 永固黄 G; ...  颜料黄 147; 透明黄 RN...  颜料黄 148; 1,1'-[...  颜料黄 15  颜料黄 150; 5,5'-偶...