全球化学品在线数据库

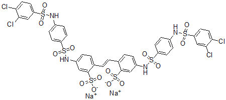
2,2'-(1,2-乙二基)二(5-(((4-(((3,4-二氯苯基)磺酰基)氨基)苯基)磺酰基)氨基)苯磺酸二钠盐
[CAS 58727-01-8]

供应商
BOC Sciences 美国
+1 (631) 485-4226
info@bocsci.com
Skype 聊天
化学品供销商
chemBlink 集群供应商(2012 年起)
基本信息
产品名称 2,2'-(1,2-乙二基)二(5-(((4-(((3,4-二氯苯基)磺酰基)氨基)苯基)磺酰基)氨基)苯磺酸二钠盐
英文名 2,2'-(1,2-Ethenediyl)bis(5-(((4-(((3,4-dichlorophenyl)sulfonyl)amino)phenyl)sulfonyl)amino)benzenesulfonic acid, disodium salt
分子结构 CAS 登录号:58727-01-8, 2,2'-(1,2-乙二基)二(5-(((4-(((3,4-二氯苯基)磺酰基)氨基)苯基)磺酰基)氨基)苯磺酸二钠盐
CAS 登录号 58727-01-8
市场分析报告
相关产品
(2R,5R,2'R,5'R)...  1,1'-(1,2-乙二基)二...  2,2'-(1,2-乙二基)二...  1,1'-(1,2-乙二基)二...  5,5'-(1,2-乙二基)二...  1,1'-(1,1-乙二基)二...  2,2'-(1,2-乙二基)二...  2,2'-(1,2-乙二基)二...  1,1'-(1,2-乙二基)二...  1,1'-(1,1-乙二基)二...  4,4'-(1,2-乙二基)二...  N,N'-(1,2-乙二基)二...  N,N'-(1,2-乙二基)二...  N,N'-(1,2-乙二基)二...  1,1'-(1,2-乙二基)二...  1,1'-(1,2-乙二基)二...  1,1'-(1,2-乙二基)二...  1,1'-(1,2-乙二基)二...  3,3'-(1,2-乙二基)二...  (2R,2'R,5R,5'R)...