全球化学品在线数据库

L-赖氨酰-L-谷氨酸
[CAS 5891-46-3]

供应商
Alfa Chemistry 美国
+1 (201) 478-8534
inquiry@alfa-chemistry.com
化学品供销商(2012 年起)
chemBlink 标准供应商(2012 年起)
BOC Sciences 美国
+1 (631) 485-4226
info@bocsci.com
Skype 聊天
化学品供销商
chemBlink 集群供应商(2012 年起)
基本信息
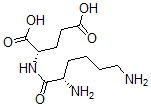
产品名称 L-赖氨酰-L-谷氨酸
英文名 L-Lysyl-L-Glutamic Acid
分子结构 CAS 登录号:5891-46-3, L-赖氨酰-L-谷氨酸
CAS 登录号 5891-46-3
市场分析报告
相关产品
赖氨酰-脯氨酰-异亮氨酰-谷氨...  L-赖氨酰甘氨酸单盐酸盐  L-赖氨酰甘氨酰-L-alph...  L-赖氨酰甘氨酰-L-alph...  L-赖氨酰甘氨酰-L-苯丙氨酰...  L-赖氨酰甘氨酰甘氨酸  H-赖氨酰-甘氨酰-谷氨酸  L-赖氨酰甘氨酰-L-异亮氨酰...  L-赖氨酰甘氨酰-L-组氨酰-...  赖氨酰谷氨酸  L-赖氨酰-L-谷氨酰胺酰-L...  H-赖氨酰-谷氨酰胺酰-丙氨酰...  L-赖氨酰-L-谷氨酰胺酰-L...  L-赖氨酰-L-谷氨酰胺酰-L...  L-赖氨酰-L-精氨酸  L-赖氨酰-L-精氨酰-L-a...  赖氨酰-精氨酰-丙氨酰-赖氨酰...  赖氨酰-精氨酰-精氨酰-苯丙氨...  赖氨酰-精氨酰-精氨酰色氨酰-...  L-赖氨酰-L-精氨酰-L-精...