全球化学品在线数据库

4-(2-丁炔-1-基氧基)-6-异丙氧基嘧啶
[CAS 601482-40-0]

供应商
Achemica 瑞士
+41 (24) 466-2929
contact@achemica.com
化学品生产商(2010 年起)
深圳爱拓化学有限公司 中国
+86 13417589054/
info@atomaxchem.com,atomax.chemicals@gmail.com
QQ 交流
化学品生产商
基本信息
产品名称 4-(2-丁炔-1-基氧基)-6-异丙氧基嘧啶
英文名 4-(2-Butyn-1-yloxy)-6-isopropoxypyrimidine
别名 4-(but-2-yn-1-yloxy)-6-isopropoxypyrimidine; PYRIMIDINE, 4-(2-BUTYNYLOXY)-6-(1-METHYLETHOXY)- (9CI)
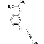
分子结构 CAS 登录号:601482-40-0, 4-(2-丁炔-1-基氧基)-6-异丙氧基嘧啶
分子式 C11H14N2O2
分子量 206.24
CAS 登录号 601482-40-0
分子行输入简码 SMILES CC(C)Oc1cc(OCC#CC)ncn1
国际化学标识码 InChI 1S/C11H14N2O2/c1-4-5-6-14-10-7-11(13-8-12-10)15-9(2)3/h7-9H,6H2,1-3H3
国际化学标识检索码 InChIKey CKYAVRBLDZAIQL-UHFFFAOYSA-N
物理化学性质
密度 1.085g/cm3 (计算值)
沸点 342.699°C at 760 mmHg (计算值)
闪点 125.321°C (计算值)
折射率 1.51 (计算值)
市场分析报告
相关产品
3-(3-丁炔-1-基氧基)-...  1-(3-丁炔-1-基氧基)-...  2-(3-丁炔-1-基氧基)-...  1-(3-丁炔-1-基氧基)-...  3-(3-丁炔-1-基氧基)-...  1-(3-丁炔-1-基氧基)-...  1-(3-丁炔-1-基氧基)-...  4-(2-丁炔-1-基氧基)-...  4-(3-丁炔-1-基氧基)-...  4-(2-丁炔-1-基氧基)-...  1-(2-丁炔-1-基氧基)丙...  3-(2-丁炔-1-基氧基)环...  2-[(2-丁炔-1-基氧基)...  2-(3-丁炔-1-基氧基)嘧...  (3-丁炔-1-基氧基)三甲基...  2-(2-丁炔-1-基氧基)乙...  4-[1-(2-丁炔-1-基氧...  4-[1-(2-丁炔-1-基氧...  (S)-3-丁炔-2-胺  (2S)-3-丁炔-2-胺盐酸...