全球化学品在线数据库

异麦芽五糖
[CAS 6082-32-2]

供应商
卡博森斯化学科技 (苏州) 有限公司 中国
+86 (512) 6260-5585
sales@carbosynth.com
QQ 交流
化学品生产商(2006 年起)
化学品供销商(2006 年起)
chemBlink 集群供应商(2016 年起)
Biosynth AG. 瑞士
+41 (71) 858-2020
welcome@biosynth.ch
化学品生产商
Glentham Life Sciences 英国
+44 (2033) 978-798
info@glenthamls.com
化学品供销商(2013 年起)
基本信息
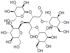
产品名称 异麦芽五糖
英文名 Isomaltopentaose
别名 (2R,3S,4R,5R)-6-Hydroxy-2,3,4,5-Tetrakis[[(2R,3R,4S,5S,6R)-3,4,5-Trihydroxy-6-(Hydroxymethyl)Tetrahydropyran-2-Yl]Oxy]Hexanal; (2R,3S,4R,5R)-6-Hydroxy-2,3,4,5-Tetrakis[[(2R,3R,4S,5S,6R)-3,4,5-Trihydroxy-6-(Hydroxymethyl)-2-Tetrahydropyranyl]Oxy]Hexanal; (2R,3S,4R,5R)-6-Hydroxy-2,3,4,5-Tetrakis[[(2R,3R,4S,5S,6R)-3,4,5-Trihydroxy-6-Methylol-Tetrahydropyran-2-Yl]Oxy]Hexanal
分子结构 CAS 登录号:6082-32-2, 异麦芽五糖
分子式 C30H52O26
分子量 828.73
CAS 登录号 6082-32-2
分子行输入简码 SMILES [C@@H](C=O)(O[C@@H]1[C@H](O)[C@@H](O)[C@H](O)[C@H](O1)CO)[C@@H](O[C@@H]2[C@H](O)[C@@H](O)[C@H](O)[C@H](O2)CO)[C@H](O[C@@H]3[C@H](O)[C@@H](O)[C@H](O)[C@H](O3)CO)[C@H](O[C@@H]4[C@H](O)[C@@H](O)[C@H](O)[C@H](O4)CO)CO
国际化学标识码 InChI 1S/C30H52O26/c31-1-7-13(37)17(41)21(45)27(49-7)53-11(5-35)25(55-29-23(47)19(43)15(39)9(3-33)51-29)26(56-30-24(48)20(44)16(40)10(4-34)52-30)12(6-36)54-28-22(46)18(42)14(38)8(2-32)50-28/h5,7-34,36-48H,1-4,6H2/t7-,8-,9-,10-,11+,12-,13-,14-,15-,16-,17+,18+,19+,20+,21-,22-,23-,24-,25-,26-,27-,28-,29-,30-/m1/s1
国际化学标识检索码 InChIKey ZFGVMMVMFNPHAQ-XAKZEXHGSA-N
物理化学性质
密度 1.82g/cm3 (计算值)
沸点 1269.799°C at 760 mmHg (计算值)
闪点 390.419°C (计算值)
市场分析报告
相关产品
异麦角甾苷  异麦芽六糖  异麦芽七糖  异麦芽三糖  异麦芽四糖  D-异麦芽糖  异麦芽糖醇  异麦芽糖苷铁1000  异麦芽糖基果糖苷  异麦芽酮糖醇  异-马拉硫磷  乙吗芦丁  异芒柄花黄素  异芒果醇酸; (3alpha,...  异芒果苷; 异芒果甙; 异杞果...  异曼果斯廷  乙螨唑; 依杀螨  异毛果芸香素  异帽叶碱  异马特镰孢菌素