全球化学品在线数据库

6-去(2-氧代乙基)-4'-脱氧-6-甲基卷须霉素 A1
[CAS 61417-47-8]

供应商
CAS#: 61417-47-8
产品: 6-去(2-氧代乙基)-4'-脱氧-6-甲基卷须霉素 A1
暂时没有厂家供应该产品。
基本信息
产品名称 6-去(2-氧代乙基)-4'-脱氧-6-甲基卷须霉素 A1
英文名 6-De(2-Oxoethyl)-4'-Deoxy-6-Methylcirramycin A1
别名 (14E)-9-(4-Dimethylamino-3-Hydroxy-6-Methyl-Tetrahydropyran-2-Yl)Oxy-3-Ethyl-7-Hydroxy-2,8,10,12,16-Pentamethyl-4,17-Dioxabicyclo[14.1.0]Heptadec-14-Ene-5,13-Dione; (14E)-9-[(4-Dimethylamino-3-Hydroxy-6-Methyl-2-Tetrahydropyranyl)Oxy]-3-Ethyl-7-Hydroxy-2,8,10,12,16-Pentamethyl-4,17-Dioxabicyclo[14.1.0]Heptadec-14-Ene-5,13-Dione; (14E)-9-(4-Dimethylamino-3-Hydroxy-6-Methyl-Tetrahydropyran-2-Yl)Oxy-3-Ethyl-7-Hydroxy-2,8,10,12,16-Pentamethyl-4,17-Dioxabicyclo[14.1.0]Heptadec-14-Ene-5,13-Quinone
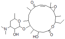
分子结构 CAS 登录号:61417-47-8, 6-去(2-氧代乙基)-4'-脱氧-6-甲基卷须霉素 A1
分子式 C30H51NO8
分子量 553.73
CAS 登录号 61417-47-8
分子行输入简码 SMILES C(C2OC(CC(O)C(C(C(CC(C(\C=C\C1(OC1C2C)C)=O)C)C)OC3C(C(N(C)C)CC(O3)C)O)C)=O)C
国际化学标识码 InChI 1S/C30H51NO8/c1-10-24-20(6)28-30(7,39-28)12-11-22(32)16(2)13-17(3)27(19(5)23(33)15-25(34)37-24)38-29-26(35)21(31(8)9)14-18(4)36-29/h11-12,16-21,23-24,26-29,33,35H,10,13-15H2,1-9H3/b12-11+
国际化学标识检索码 InChIKey NMAABBNXENXPAD-VAWYXSNFSA-N
市场分析报告
相关产品
(23S)-25-去(1-甲基...  2’-去(1-羟基-1-甲基乙...  (2S,4S,5R)-20-去...  去(2,3-二羟基丙基)碘克沙...  3-O-去(2,6-二脱氧-3...  N-去(2-吡啶基)-N-(5...  N-去(2-吡啶基)-N-(5...  N-去(2-二乙基氨基)甲氧氯...  去(2-甲基丁酰)普伐他汀  17alpha-去-(2-羟基...  3beta-O-去(3-氯-6...  3beta-O-去(3-氯-6...  去(4-环己基-L-脯氨酸)福...  去(5-甲基吡嗪羰基)格列吡嗪  N-去(5-甲基吡嗪羰基)-N...  1-去(5-氧代-L-脯氨酸)...  1-去(5-氧代-L-脯氨酸)...  1-去(5-氧代-L-脯氨酸)...  1-去(5-氧代-L-脯氨酸)...  1-去(5-氧代-L-脯氨酸)...