全球化学品在线数据库

卷曲霉素 IIA
[CAS 62639-89-8]

供应商
CAS#: 62639-89-8
产品: 卷曲霉素 IIA
暂时没有厂家供应该产品。
基本信息
产品名称 卷曲霉素 IIA
英文名 Capreomycin IIA
别名 [(Z)-[(3S,9S,12S,15S)-15-Amino-9-(Aminomethyl)-3-[(4R)-2-Amino-3,4,5,6-Tetrahydropyrimidin-4-Yl]-2,5,8,11,14-Pentaketo-12-Methylol-1,4,7,10,13-Pentazacyclohexadec-6-Ylidene]Methyl]Urea; Brn 0875651; Capreomycin Ia, 1-De-(L-3,6-Diaminohexanoic Acid)-
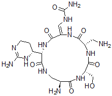
分子结构 CAS 登录号:62639-89-8, 卷曲霉素 IIA
分子式 C19H32N12O7
分子量 540.54
CAS 登录号 62639-89-8
分子行输入简码 SMILES [C@H]1(NC(=NCC1)N)[C@@H]2NC(=O)\C(NC(=O)[C@@H](NC(=O)[C@@H](NC(=O)[C@@H](N)CNC2=O)CO)CN)=C\NC(=O)N
国际化学标识码 InChI 1S/C19H32N12O7/c20-3-9-14(34)28-10(5-26-19(23)38)15(35)31-12(8-1-2-24-18(22)30-8)17(37)25-4-7(21)13(33)29-11(6-32)16(36)27-9/h5,7-9,11-12,32H,1-4,6,20-21H2,(H,25,37)(H,27,36)(H,28,34)(H,29,33)(H,31,35)(H3,22,24,30)(H3,23,26,38)/b10-5-/t7-,8+,9-,11-,12-/m0/s1
国际化学标识检索码 InChIKey XFGCTBYTRMLWCB-MRSVHRRQSA-N
物理化学性质
密度 1.886g/cm3 (计算值)
市场分析报告
相关产品
聚-1,4-丁二醇双(4-氨基...  聚-2-甲基-5-乙烯基吡啶苦...  聚-2-硫代尿甙酸  聚-4-二恶烷-2-酮  聚-8-氧基肌苷酸  gamma-聚-alpha,g...  卷柏石松碱  聚氨丙基双胍  鹃花醇  卷曲霉素  卷曲霉素 IIB  卷须霉素 A1  卷须霉素F2  聚半胱氨酸  聚半乳糖醛酸  D-聚半乳糖醛酸苷  聚胞苷-聚鸟苷酸钠  聚胞苷酸  聚胞苷酸(5')钾盐  巨孢子素