全球化学品在线数据库

2,3,4,5,6-五羟基己酸
[CAS 6622-52-2]

供应商
Alfa Chemistry 美国
+1 (201) 478-8534
inquiry@alfa-chemistry.com
化学品供销商(2012 年起)
chemBlink 标准供应商(2012 年起)
BOC Sciences 美国
+1 (631) 485-4226
info@bocsci.com
Skype 聊天
化学品供销商
chemBlink 集群供应商(2012 年起)
City Chemical LLC 美国
+1 (203) 932-2489
sales@citychemical.com
化学品供销商
Xiamen Flint Chemical Co., Ltd. 中国
+86 (592) 389-2837
sales@flintchem.com
化学品供销商
基本信息
产品名称 2,3,4,5,6-五羟基己酸
英文名 2,3,4,5,6-Pentahydroxyhexanoic Acid
别名 D-Galactonic Acid Hemicalcium; CALCIUM GALACTONATE
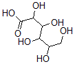
分子结构 CAS 登录号:6622-52-2, 2,3,4,5,6-五羟基己酸
分子式 C6H12CaO7++
分子量 236.23
CAS 登录号 6622-52-2
分子行输入简码 SMILES OCC(C(C(C(C(=O)O)O)O)O)O.[Ca+2]
国际化学标识码 InChI InChI=1S/C6H12O7.Ca/c7-1-2(8)3(9)4(10)5(11)6(12)13;/h2-5,7-11H,1H2,(H,12,13);/q;+2
市场分析报告
相关产品
(1S,2R,3R,4S,5S...  [[(2S,3R,4R,5R)...  [(2S,3R,4R,5R)-...  [(2S,3R,4R,5R)-...  (2S)-2-[[(2R,3R...  (2S,3R,4S,5R)-2...  (2S,3S,4R,5R)-2...  2,3,4,5,6-五羟基己酸  2,3,4,5,6-五羟基己酸  (2R,3S,4S,5R)-2...  (3S,4R,5S)-1,3,...  (3S,4S,5R)-1,3,...  2,3,4,5,6-五羟基己酰...  [(2R,3R,4R,5R)-...  (1beta,11beta,1...  (1b,11b,12a,15b...  (6-beta,14R)-5,...  (2R,3S,4R,5R)-2...  (2R,3S,4R,5R)-2...  (2R,3S,4R,5R)-2...