全球化学品在线数据库

N-[4-甲基-3-[(1-甲基丙亚基氨基)氧基羰基氨基]苯基]氨基甲酸 4-[[4-甲基-3-[(1-甲基丙亚基氨基)氧基羰基氨基]苯基]氨基甲酰氧基]丁基酯
[CAS 68225-48-9]

供应商
CAS#: 68225-48-9
产品: N-[4-甲基-3-[(1-甲基丙亚基氨基)氧基羰基氨基]苯基]氨基甲酸 4-[[4-甲基-3-[(1-甲基丙亚基氨基)氧基羰基氨基]苯基]氨基甲酰氧基]丁基酯
暂时没有厂家供应该产品。
基本信息
产品名称 N-[4-甲基-3-[(1-甲基丙亚基氨基)氧基羰基氨基]苯基]氨基甲酸 4-[[4-甲基-3-[(1-甲基丙亚基氨基)氧基羰基氨基]苯基]氨基甲酰氧基]丁基酯
英文名 N-[4-Methyl-3-[(1-methylpropylideneamino)oxycarbonylamino]phenyl]carbamic acid 4-[[4-methyl-3-[(1-methylpropylideneamino)oxycarbonylamino]phenyl]carbamoyloxy]butyl ester
别名 4-[[4-Methyl-3-[(1-Methylpropylideneamino)Oxycarbonylamino]Phenyl]Carbamoyloxy]Butyl N-[4-Methyl-3-[(1-Methylpropylideneamino)Oxycarbonylamino]Phenyl]Carbamate; N-[4-Methyl-3-[[(1-Methylpropylideneamino)Oxy-Oxomethyl]Amino]Phenyl]Carbamic Acid 4-[[[4-Methyl-3-[[(1-Methylpropylideneamino)Oxy-Oxomethyl]Amino]Phenyl]Amino]-Oxomethoxy]Butyl Ester; N-[4-Methyl-3-[(1-Methylpropylideneamino)Oxycarbonylamino]Phenyl]Carbamic Acid 4-[[4-Methyl-3-[(1-Methylpropylideneamino)Oxycarbonylamino]Phenyl]Carbamoyloxy]Butyl Ester
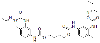
分子结构 CAS 登录号:68225-48-9, N-[4-甲基-3-[(1-甲基丙亚基氨基)氧基羰基氨基]苯基]氨基甲酸 4-[[4-甲基-3-[(1-甲基丙亚基氨基)氧基羰基氨基]苯基]氨基甲酰氧基]丁基酯
分子式 C30H40N6O8
分子量 612.68
CAS 登录号 68225-48-9
分子行输入简码 SMILES C1=C(NC(O\N=C(\CC)C)=O)C(=CC=C1NC(OCCCCOC(=O)NC2=CC=C(C(=C2)NC(O\N=C(\CC)C)=O)C)=O)C
国际化学标识码 InChI 1S/C30H40N6O8/c1-7-21(5)35-43-29(39)33-25-17-23(13-11-19(25)3)31-27(37)41-15-9-10-16-42-28(38)32-24-14-12-20(4)26(18-24)34-30(40)44-36-22(6)8-2/h11-14,17-18H,7-10,15-16H2,1-6H3,(H,31,37)(H,32,38)(H,33,39)(H,34,40)/b35-21+,36-22+
国际化学标识检索码 InChIKey LKCQSMUKTXREJC-JTOYJDTJSA-N
物理化学性质
密度 1.236g/cm3 (计算值)
市场分析报告
相关产品
2-甲基-3-[2-(1,2,...  N-甲基-3-[(1E)-1-...  甲基3-[(1E)-1-丙烯-...  2-甲基-3-[(1E)-1-...  3'-甲基-3''-[(1E)...  1-甲基-3-[(1E)-2-...  1-甲基-3-[(1E)-3,...  2-甲基-3-[(1E)-2-...  1-甲基-3-[(1E)-1-...  {(1S,2S,3S)-2-甲...  4-甲基-3-[(1-甲基-4...  4-甲基-3-[(1-甲基-4...  甲基3-[(2,2-二甲基丁酰...  甲基3-[(2,3-二氨基-4...  1-甲基-3-[(2,4,5-...  2-甲基-3-[(2E)-3-...  2-甲基-3-[(2E,10E...  2-甲基-3-[(2E,6E)...  2-甲基-3-[(2E,6E,...  2-甲基-3-[(2E,6E,...