全球化学品在线数据库

十二烷基-4-(4-磺基苯氧基)-苯磺酸铵盐(1:2)
[CAS 69834-23-7]

供应商
Achemica 瑞士
+41 (24) 466-2929
contact@achemica.com
化学品生产商(2010 年起)
Alfa Chemistry 美国
+1 (201) 478-8534
inquiry@alfa-chemistry.com
化学品供销商(2012 年起)
chemBlink 标准供应商(2012 年起)
BOC Sciences 美国
+1 (631) 485-4226
info@bocsci.com
Skype 聊天
化学品供销商
chemBlink 集群供应商(2012 年起)
基本信息
产品名称 十二烷基-4-(4-磺基苯氧基)-苯磺酸铵盐(1:2)
英文名 Dodecyl-4-(4-Sulfophenoxy)-Benzenesulfonic Acid Ammonium Salt (1:2)
别名 Diammonium 2-Dodecyl-4-(4-Sulfonatophenoxy)Benzenesulfonate; Diammonium 2-Lauryl-4-(4-Sulfonatophenoxy)Benzenesulfonate; Benzenesulfonic Acid, Dodecyl-4-(4-Sulfophenoxy)-, Diammonium Salt
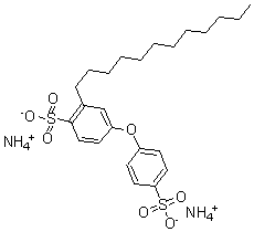
分子结构 CAS 登录号:69834-23-7, 十二烷基-4-(4-磺基苯氧基)-苯磺酸铵盐(1:2)
分子式 C24H40N2O7S2
分子量 532.71
CAS 登录号 69834-23-7
EINECS 登录号 274-145-5
分子行输入简码 SMILES C2=C(OC1=CC=C([S]([O-])(=O)=O)C=C1)C=CC(=C2CCCCCCCCCCCC)[S]([O-])(=O)=O.[NH4+].[NH4+]
国际化学标识码 InChI 1S/C24H34O7S2.2H3N/c1-2-3-4-5-6-7-8-9-10-11-12-20-19-22(15-18-24(20)33(28,29)30)31-21-13-16-23(17-14-21)32(25,26)27;;/h13-19H,2-12H2,1H3,(H,25,26,27)(H,28,29,30);2*1H3
国际化学标识检索码 InChIKey BDEGCBYFVTXJKF-UHFFFAOYSA-N
物理化学性质
沸点 732.9°C at 760 mmHg (计算值)
闪点 397°C (计算值)
市场分析报告
相关产品
1-十二烷基-3-甲基-1H-...  2-十二烷基-3-甲基琥珀酸 ...  1-十二烷基-3-甲基咪唑鎓碘...  1-十二烷基-3-甲基咪唑鎓六...  1-十二烷基-3-甲基咪唑鎓氯...  1-十二烷基-3-甲基咪唑鎓四...  1-十二烷基-3-甲基咪唑鎓硝...  alpha-十二烷基-3-甲氧...  1-十二烷基-3-羟基-1-氮...  1-十二烷基-4-(1,3-苯...  1-十二烷基-4-(苯硫基)苯  十二烷基4,4-二辛基-7-氧...  2-十二烷基-4,5-二氢-1...  3-十二烷基-4-[(2-十二...  十二烷基4-{[2-(十二烷氧...  2-十二烷基4-磺酸基邻苯二甲...  1-十二烷基-4-甲基苯  1-十二烷基-4-甲酰基-3-...  十二烷基4-十二烷基-4-{[...  十二烷基4-硝基苯甲酸酯